ExponentialSmoothing - Maple Help
For the best experience, we recommend viewing online help using Google Chrome or Mozilla Firefox.

Online Help

All Products    Maple    MapleSim


Statistics

  

ExponentialSmoothing

  

apply exponential smoothing to a data set

 

Calling Sequence

Parameters

Description

Options

Examples

Calling Sequence

ExponentialSmoothing(X, lambda, options)

Parameters

X

-

data set

lambda

-

smoothing constant

options

-

(optional) equation(s) of the form option=value where option is one of ignore, or initial; specify options for the ExponentialSmoothing function

Description

• 

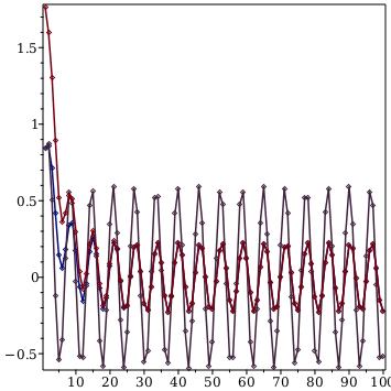
The ExponentialSmoothing function computes exponentially weighted moving averages for the original observations using the formula

Si+1=lambdaAi+1+1lambdaSi,i=1..N1

  

where N is the number of elements in A and S1=A1 by default. This is useful for smoothing the data, thus eliminating cyclic and irregular patterns and therefore enhancing the long term trends.

• 

The first parameter X is a single data sample - given as e.g. a Vector. Each value represents an individual observation.

• 

The second parameter lambda is the smoothing constant, which can be any real number between 0 and 1.

• 

For a more involved implementation of exponential smoothing, see TimeSeriesAnalysis[ExponentialSmoothingModel].

Options

  

The options argument can contain one or more of the options shown below. These options are described in more detail in the Statistics[Mean] help page.

• 

ignore=truefalse -- This option is used to specify how to handle non-numeric data. If ignore is set to true all non-numeric items in X will be ignored.

• 

initial=deduce, or realcons -- This option is used to specify the initial value for the smoothed observations. By default, the first of the original observations is taken as the initial value.

Examples

withStatistics:

Aseqsini,i=1..100:

UExponentialSmoothingA,0.2:

VExponentialSmoothingA,0.5:

WExponentialSmoothingA,0.2,initial=2:

LineChartU,V,W

See Also

Statistics

Statistics[DataSmoothing]

Statistics[LinearFilter]

Statistics[MovingAverage]

TimeSeriesAnalysis

TimeSeriesAnalysis[ExponentialSmoothingModel]