Student[Statistics]
BinomialRandomVariable
binomial random variable
Calling Sequence
Parameters
Description
Notes
Examples
References
Compatibility
BinomialRandomVariable(n, p)
n
-
number of trials
p
probability of success
The binomial random variable is a discrete probability random variable with probability function given by:
f⁡t=0t<0nt⁢pt⁢1−pn−totherwise
subject to the following conditions:
0<n,0≤p,p≤1
The binomial random variable is used for the estimation of probabilities in a set of success or failures. The binomial variate indicates the number of successes in a set of n Bernoulli trials, each with probability of success p.
The Quantile function applied to a binomial distribution uses a sequence of iterations in order to converge upon the desired output point. The maximum number of iterations to perform is equal to 100 by default, but this value can be changed by setting the environment variable _EnvStatisticsIterations to the desired number of iterations.
with⁡StudentStatistics:
X≔BinomialRandomVariable⁡n,p:
ProbabilityFunction⁡X,u
0u<0nu⁢pu⁢1−pn−uotherwise
ProbabilityFunction⁡X,1
n⁢p⁢1−pn−1
Mean⁡X
p⁢n
Variance⁡X
n⁢p⁢1−p
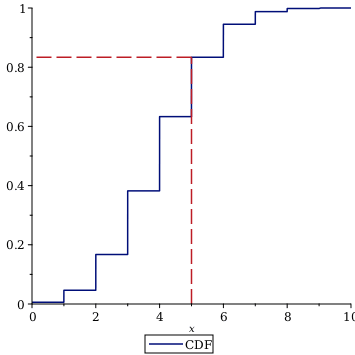
Y≔BinomialRandomVariable⁡10,25:
ProbabilityFunction⁡Y,x,output=plot
CDF⁡Y,3,numeric
0.382280601592232
CDF⁡Y,5,output=plot
Evans, Merran; Hastings, Nicholas; and Peacock, Brian. Statistical Distributions. 3rd ed. Hoboken: Wiley, 2000.
Johnson, Norman L.; Kotz, Samuel; and Balakrishnan, N. Continuous Univariate Distributions. 2nd ed. 2 vols. Hoboken: Wiley, 1995.
Stuart, Alan, and Ord, Keith. Kendall's Advanced Theory of Statistics. 6th ed. London: Edward Arnold, 1998. Vol. 1: Distribution Theory.
The Student[Statistics][BinomialRandomVariable] command was introduced in Maple 18.
For more information on Maple 18 changes, see Updates in Maple 18.
See Also
Statistics[Distributions][Binomial]
Student
Student[Statistics][RandomVariable]
Download Help Document