Chapter 5: Double Integration
Section 5.7: Double Integration in Polar Coordinates
Essentials
When Cartesian coordinates are changed to polar coordinates, the points in the Cartesian plane remain where they are, and their "names" simply change. Thus, a Cartesian curve y=fx expressed in polar coordinates by r sinθ=fr cosθ does not change shape or location. Just its representation changes.
The recipe r=x2+y2,θ=arctany/x prescribes the new name for each Cartesian point. This is what Figure 5.7.1 shows. The concentric circles and polar rays of polar coordinates are superimposed on the Cartesian plane, so objects retain their location and shape. Just their descriptions change.
use plots, plottools in module() local P1,P2,P3,P4,f,a,k; P1:=plot([seq([a,t,t=0..2*Pi],a=1..5)],color=green): P2:=plot([seq(k*Pi/6,k=0..12)],x=1..5,color=red): P3:=display(P1,P2,scaling=constrained,view=[0..6,0..2*Pi],labels=[r,typeset(theta)]): f:=transform((x,y)->[x*cos(y),x*sin(y)]): P4:=display(f(P3),labels=[x,y],axis=[gridlines=[linestyle=dot]],tickmarks=[spacing(1),spacing(1)],labelfont=[default,12]): print(P4); end module: end use:
Figure 5.7.1 Polar coordinates
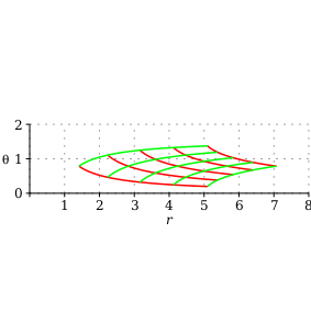
When the change to polar coordinates is viewed as a transformation (or mapping) from the Cartesian plane, objects change both position and shape. An object that was in the Cartesian plane, is moved over to the rθ-plane. Figure 5.7.2 provides one way of visualizing the distortion experienced when the Cartesian plane is mapped onto the polar plane. The red horizontal and green vertical lines in the Cartesian plane become the curved red and green lines, respectively, in the polar plane.
use plots in module() local P1,P2,P3,a; P1:=plot([seq([a,t,t=1..5],a=1..5)],color=green): P2:=plot([1,2,3,4,5],x=1..5,color=red): P3:=display(P1,P2,scaling=constrained,view=[0..6,0..6],labels=[x,y],labelfont=[default,12]): print(P3); end module: end use:
use plots in module() local p1,p2,p3,a,b; p1:=plot([seq([sqrt(b^2+t^2),arctan(b,t),t=1..5],b=1..5)],color=red): p2:=plot([seq([sqrt(t^2+a^2),arctan(t,a),t=1..5],a=1..5)],color=green): p3:=display(p1,p2,scaling=constrained,labels=[r,typeset(theta)],view=[0..8,0..2],axis=[gridlines=[linestyle=dot]],tickmarks=[spacing(1),spacing(1)],labelfont=[default,12]): print(p3); end module: end use:
Figure 5.7.2 Gridlines from the Cartesian plane mapped to the polar plane
Figure 5.7.3 shows a unit square in the Cartesian plane. Figure 5.7.4 shows the image of this square under the mapping r=x2+y2,θ=arctany/x that takes the Cartesian square over to the rθ-plane.
Figure 5.7.3 A unit square in the Cartesian plane
use plots in module() local p1,p2,p3,a,b; p1:=plot([seq([sqrt(b^2+t^2),arctan(b,t),t=1..2],b=1..2)],color=[black,green]): p2:=plot([seq([sqrt(t^2+a^2),arctan(t,a),t=1..2],a=1..2)],color=[blue,red]): p3:=display(p1,p2,scaling=constrained,labels=[r,typeset(theta)],view=[1..3,0..2],axis=[gridlines=[linestyle=dot]],tickmarks=[spacing(1),spacing(1)],labelfont=[default,12]): print(p3); end module: end use:
Figure 5.7.4 Polar-plane image of Cartesian square
Because of the distortion experienced by the square, the element of area in the Cartesian plane, namely, dA=dy dx or dx dy, becomes dA′=∂x,y∂r,θ dr dθ or dA′=∂x,y∂r,θ dθ dr. The scaling factor is the absolute value of the Jacobian ∂x,y∂r,θ, which is best obtained from the inverse of the mapping formulas: x=r cosθ,y=r sinθ. Thus, the scaling factor for area in polar coordinates is
∂x,y∂r,θ = |∂x∂r∂x∂θ∂y∂r∂y∂θ| = cosθ−r sinθsinθr cosθ = rcos2θ+sin2θ=r
Examples
Example 5.7.1
Calculate the area of contained in one loop of the 4-leaf rose r=cos2 θ.
Example 5.7.2
Calculate the area that is inside the cardioid r=1+ cosθ but outside the circle r=1.
Example 5.7.3
Calculate the area that is inside the circle r=3 sinθ but outside the cardioid r=1+sinθ.
Example 5.7.4
Calculate the area that is inside the circle r=3 cosθ but outside the cardioid r=1+cosθ.
Example 5.7.5
Calculate the area that is inside the circle r=3 cosθ but outside the limaçon r=2−cosθ.
Example 5.7.6
Calculate the area that is inside the large loop, but outside the small inner loop, of the limaçon r=1/2+cosθ.
Example 5.7.7
Calculate the area that is inside the circle r=4 sinθ but outside the circle r=2.
Example 5.7.8
Calculate the area that is common to the circle r=3 cosθ and the cardioid r=1+cosθ.
Example 5.7.9
Calculate the area that is inside the lemniscate r2=4 cos2 θ but outside the circle r=cosθ.
Example 5.7.10
Calculate the area that is inside both the rose r=sin2 θ and the circle r=sinθ.
Example 5.7.11
Calculate the area that is inside the cardioid r=1+cosθ but outside the circle r=3 cosθ.
Example 5.7.12
Give a geometric construction showing that for polar coordinates, dA′=r dr dθ or r dθ dr.
<< Previous Section Table of Contents Next Chapter >>
© Maplesoft, a division of Waterloo Maple Inc., 2025. All rights reserved. This product is protected by copyright and distributed under licenses restricting its use, copying, distribution, and decompilation.
For more information on Maplesoft products and services, visit www.maplesoft.com
Download Help Document