QuantumChemistryOfDyes - Maple Help
For the best experience, we recommend viewing online help using Google Chrome or Mozilla Firefox.

Online Help

All Products    Maple    MapleSim


Home : Support : Online Help : Toolboxes : Quantum Chemistry : Courses : Lessons : Art : QuantumChemistryOfDyes

Quantum Chemistry of Dyes

 Copyright (c) Lant, Montgomery, and Mazziotti 2023
This work is licensed under a Creative Commons Attribution-NoDerivatives 4.0 International License.

 

Learning Goals:

Indigo vs Tyrian Purple

References

Learning Goals:

By the end of this lesson, students will be able to:

 

• 

Use quantum chemistry calculations to predict the absorption frequencies of the indigo and tyrian purple dyes

• 

Relate the differences in absorbed frequencies to the differences in colors

 

Indigo vs Tyrian Purple

 

We have found that if we want to calculate where a particular compound will absorb, we must be able to calculate the energy levels.  In the previous section, we found that the Particle in a Box model works remarkably well for cyanine dyes.  In this section, we want to show that it does not work well for ALL systems.  That is, there is a limit to the ability of a model to capture the key physics in a system.

 

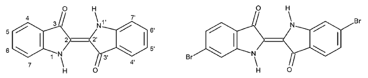
Consider two related dyes: indigo and tyrian purple:

 

 

Figure 1: Structures of indigo (left) and tyrian purple (right).  

 

 

The only difference between the two structures is that tyrian purple has bromines at the 6 and 6' positions.  This does not affect the number of π-electrons or the length of the conjugated chain, so the particle in a box model would treat these two dyes as being identical!

 

For more complex compounds, one must use more sophisticated methods to calculate the energy levels.  Here we use the QuantumChemistry toolbox to calculate the ground and excited states of each of these dyes.

 

 

 restart:Digits15:withQuantumChemistry: 

 

We enter the geometry of the indigo dye

 indigoC,−2.82265000,0.73898000,0.00005000,C,−3.96802000,1.53537000,0.,C,−5.20393000,0.88612000,−0.00005000,C,−5.31138000,−0.51504000,−0.00005000,C,−4.16296000,−1.30350000,−0.00001000,C,−2.91836000,−0.67319000,0.00003000,H,−6.29247000,−0.97833000,−0.00009000,H,−4.21764000,−2.38780000,−0.00001000,H,−3.90356000,2.61878000,0.00001000,H,−6.10933000,1.48632000,−0.00009000,C,−1.55139000,−1.21054000,0.00005000,C,−0.68036000,0.00041000,0.00006000,N,−1.48727000,1.11979000,0.00017000,O,−1.14282000,−2.37426000,0.00004000,H,−1.10083000,2.05448000,−0.00008000,C,0.68036000,−0.00040000,−0.00006000,N,1.48727000,−1.11979000,−0.00017000,C,2.82264000,−0.73898000,−0.00005000,C,2.91836000,0.67319000,−0.00003000,C,1.55140000,1.21054000,−0.00004000,H,1.10081000,−2.05448000,0.00011000,O,1.14282000,2.37426000,−0.00004000,C,3.96802000,−1.53537000,−0.,C,4.16297000,1.30350000,−0.,C,5.31138000,0.51504000,0.00004000,C,5.20393000,−0.88612000,0.00005000,H,6.10932000,−1.48633000,0.00009000,H,3.90355000,−2.61878000,0.,H,4.21765000,2.38780000,0.,H,6.29247000,0.97832000,0.00007000;

indigoC,−2.82265000,0.73898000,0.00005000,C,−3.96802000,1.53537000,0.,C,−5.20393000,0.88612000,−0.00005000,C,−5.31138000,−0.51504000,−0.00005000,C,−4.16296000,−1.30350000,−0.00001000,C,−2.91836000,−0.67319000,0.00003000,H,−6.29247000,−0.97833000,−0.00009000,H,−4.21764000,−2.38780000,−0.00001000,H,−3.90356000,2.61878000,0.00001000,H,−6.10933000,1.48632000,−0.00009000,C,−1.55139000,−1.21054000,0.00005000,C,−0.68036000,0.00041000,0.00006000,N,−1.48727000,1.11979000,0.00017000,O,−1.14282000,−2.37426000,0.00004000,H,−1.10083000,2.05448000,−0.00008000,C,0.68036000,−0.00040000,−0.00006000,N,1.48727000,−1.11979000,−0.00017000,C,2.82264000,−0.73898000,−0.00005000,C,2.91836000,0.67319000,−0.00003000,C,1.55140000,1.21054000,−0.00004000,H,1.10081000,−2.05448000,0.00011000,O,1.14282000,2.37426000,−0.00004000,C,3.96802000,−1.53537000,−0.,C,4.16297000,1.30350000,−0.,C,5.31138000,0.51504000,0.00004000,C,5.20393000,−0.88612000,0.00005000,H,6.10932000,−1.48633000,0.00009000,H,3.90355000,−2.61878000,0.,H,4.21765000,2.38780000,0.,H,6.29247000,0.97832000,0.00007000

(2.1)

 

 

Let's plot the molecule

PlotMoleculeindigo; 


We can compute the electronic energy and properties of indigo using computational chemistry (namely, density functional theory (DFT)) (Note that the calculation may take a minute).

indigo_DFTDensityFunctionalindigo, basis=6-31g; 

 

The energies of the molecular orbitals can be plotted with the blue levels corresponding to occupied orbitals and the red levels corresponding to unoccupied orbitals

 MODiagramindigo,method=DensityFunctional,basis=6-31g

 

We can plot the highest occupied molecular orbital (HOMO) (left) and the lowest unoccupied molecular orbital (LUMO) (right)

 

 HOMO  roundaddindigo_DFTmo_occ2; LUMO  HOMO+1; pHOMO  DensityPlot3Dindigo,indigo_DFT,orbitalindex=HOMO,basis=6-31g,densitycutoff=0.001: pLUMO  DensityPlot3Dindigo,indigo_DFT,orbitalindex=LUMO,basis=6-31g,densitycutoff=0.001: plots:-displayVectorrowpHOMO,pLUMO;

HOMO68

LUMO69

 

Finally, we can also compute the excitation spectra (Note that this calculation may take some time to reproduce).

 

 spectra_indigo_b3lyp  ExcitationSpectraindigo,method=DensityFunctional,basis=6-31g, nstates=3,3,showtable:

State

Energy

Wavelength

Spin

Oscillator

1

1.03972808eV

1192.46753221nm

Triplet

0.44895520

2

2.32548387eV

533.15440626nm

Singlet

0.28403090

3

2.35743686eV

525.92796749nm

Triplet

0.08185276

4

2.42658941eV

510.94015624nm

Triplet

4.81491290×10−10

5

2.79208571eV

444.05584358nm

Singlet

2.51377265×10−10

6

3.46710287eV

357.60172717nm

Singlet

0.00641236

 

 

We observe that there is a transition from the ground singlet state to an excited singlet state around 526 nm.  
   
(a) Approximately what color is absorbed by the indigo dye? (Hint: To answer this question, you can use the Maple applet below)

 

Exploreplots:-displayplottools:-disk1, 1, 1, color=ColorTools:-WavelengthToColor'lambda',method=linear, axes=none, 'lambda'=390..750, size=300,300;  

λ

 

 

Now consider tyrian purple, a compound that is very similar to indigo blue, except for the addition of two bromine atoms:

 

 tyrianpurpleC,−7.53629000,2.44628000,0.02964000,C,−6.37087000,3.18191000,0.04692000,C,−5.15824000,2.48164000,0.00715000,C,−5.11665000,1.07281000,−0.02689000,C,−6.29914000,0.33034000,−0.01590000,C,−7.48107000,1.04288000,0.02018000,H,−4.16101000,0.55333000,−0.05401000,H,−6.29526000,−0.75397000,−0.03064000,H,−6.39556000,4.26515000,0.09313000,Br,−3.53176000,3.45097000,0.01113000,C,−8.87511000,0.56228000,0.04867000,C,−9.70911000,1.82064000,0.05880000,N,−8.84729000,2.89698000,0.13866000,O,−9.25455000,−0.59150000,0.06050000,H,−9.17649000,3.82873000,−0.08865000,C,−11.03865000,1.75648000,−0.03735000,N,−11.90080000,0.68029000,−0.11662000,C,−13.21148000,1.13137000,−0.00440000,C,−13.26634000,2.53479000,0.00535000,C,−11.87231000,3.01505000,−0.02598000,H,−11.57160000,−0.25121000,0.11179000,O,−11.49263000,4.16874000,−0.03827000,C,−14.37716000,0.39607000,−0.01880000,C,−14.44796000,3.24766000,0.04478000,C,−15.63061000,2.50553000,0.05891000,C,−15.58949000,1.09670000,0.02446000,Br,−17.21626000,0.12784000,0.02504000,H,−14.35292000,−0.68716000,−0.06523000,H,−14.45146000,4.33197000,0.05995000,H,−16.58602000,3.02527000,0.08893000;

tyrianpurpleC,−7.53629000,2.44628000,0.02964000,C,−6.37087000,3.18191000,0.04692000,C,−5.15824000,2.48164000,0.00715000,C,−5.11665000,1.07281000,−0.02689000,C,−6.29914000,0.33034000,−0.01590000,C,−7.48107000,1.04288000,0.02018000,H,−4.16101000,0.55333000,−0.05401000,H,−6.29526000,−0.75397000,−0.03064000,H,−6.39556000,4.26515000,0.09313000,Br,−3.53176000,3.45097000,0.01113000,C,−8.87511000,0.56228000,0.04867000,C,−9.70911000,1.82064000,0.05880000,N,−8.84729000,2.89698000,0.13866000,O,−9.25455000,−0.59150000,0.06050000,H,−9.17649000,3.82873000,−0.08865000,C,−11.03865000,1.75648000,−0.03735000,N,−11.90080000,0.68029000,−0.11662000,C,−13.21148000,1.13137000,−0.00440000,C,−13.26634000,2.53479000,0.00535000,C,−11.87231000,3.01505000,−0.02598000,H,−11.57160000,−0.25121000,0.11179000,O,−11.49263000,4.16874000,−0.03827000,C,−14.37716000,0.39607000,−0.01880000,C,−14.44796000,3.24766000,0.04478000,C,−15.63061000,2.50553000,0.05891000,C,−15.58949000,1.09670000,0.02446000,Br,−17.21626000,0.12784000,0.02504000,H,−14.35292000,−0.68716000,−0.06523000,H,−14.45146000,4.33197000,0.05995000,H,−16.58602000,3.02527000,0.08893000

(2.2)

 

As above, we can plot the molecular dye tyrian purple

 

PlotMoleculetyrianpurple ;

 

We can compute the electronic energy and properties of tyrian purple using computational chemistry (namely, density functional theory (DFT)) (Note that this calculation may take a minute).

GBasis  C:6-31g;H:6-31g;N:6-31g;O:6-31g;Br:sto-6g:tyrianpurple_DFTDensityFunctionaltyrianpurple, basis=GBasis; 

 

The energies of the molecular orbitals can be plotted with the blue levels corresponding to occupied orbitals and the red levels corresponding to unoccupied orbitals

 MODiagramtyrianpurple,method=DensityFunctional,basis=GBasis

 

We can plot the highest occupied molecular orbital (HOMO) (left) and the lowest unoccupied molecular orbital (LUMO) (right)

 

 HOMO  roundaddtyrianpurple_DFTmo_occ2; LUMO  HOMO+1; pHOMO  DensityPlot3Dtyrianpurple,tyrianpurple_DFT,orbitalindex=HOMO,basis=GBasis,densitycutoff=0.001: pLUMO  DensityPlot3Dtyrianpurple,tyrianpurple_DFT,orbitalindex=LUMO,basis=GBasis,densitycutoff=0.001: plots:-displayVectorrowpHOMO,pLUMO;

HOMO102

LUMO103

 

(b) Compare the HOMO and LUMO orbitals of tyrian purple with those of indigo.  Are they similar in pattern?  

 

Finally, we can also compute the excitation spectra (Note that this calculation may take some time to reproduce).

 

 spectra_tyrianpurple_b3lyp  ExcitationSpectratyrianpurple,method=DensityFunctional,basis=GBasis, nstates=3,3,showtable:

State

Energy

Wavelength

Spin

Oscillator

1

1.18482603eV

1046.43377112nm

Singlet

0.01063373

2

1.46300077eV

847.46501988nm

Triplet

0.42879167

3

2.46467321eV

503.04517781nm

Triplet

5.64622357×10−7

4

2.59177389eV

478.37582495nm

Singlet

0.30183798

5

2.93685950eV

422.16591357nm

Triplet

1.77823855

6

2.94297131eV

421.28918132nm

Singlet

0.00001806

 

 

(c) Has the transition between the ground singlet state and an excited singlet state (State 4) changed from indigo?  Approximately what color is absorbed by the dye? (Hint: Use the Maple applet below)

 

Exploreplots:-displayplottools:-disk1, 1, 1, color=ColorTools:-WavelengthToColor'lambda',method=linear, axes=none, 'lambda'=390..750, size=300,300;   

λ

 

 

The calculations reveal how a change in structure translates into a change in the excitation spectra and hence, a change in the color of the dye.

 

 

References

1. Christie, R. The Physical and Chemical Basis of Colour. In Colour Chemistry. 2nd Ed. Royal Chemical Society: Cambridge. 2001. pp. 12-21.
2. Stockman, A., MacLeod, D. I., & Johnson, N. E. (1993). Spectral sensitivities of the human cones. Journal of the Optical Society of America, A, Optics, Image & Science, 10(12), 2491–2521.