Do not display this message again
Close window
Application Center - Maplesoft
Contactez Maplesoft
Demandez un devis
Produits
Maple
Logiciel de mathématiques puissant facile à utiliser
• Maple Académique
• Maple Edition Étudiant
• Maple Learn
• Maple Calculator App
• Maple pour l’industrie et le gouvernement
• Edition personnelle Maple
Add-ons Maple
• E-Books & Guides d'étude
• Boîte à outils et add-ons Maple
• MapleNet
• Maple Player gratuit
Math Success Platform
Améliorer les taux de retention
Maple Flow
Engineering calculations & documentation
• Maple Flow
• Maple Flow Migration Assistant
MapleSim
Modélisation avancée au niveau système
• MapleSim
• MapleSim for Web Converting Systems
• MapleSim pour la création de jumeaux numériques
• MapleSim Académique
• Bibliothèques de composants add-on
• MapleSim Insight
Services-conseils
• Services d’ingénierie
• Formation produit en ligne
• Turnkey Solutions
Produits d’enseignement en ligne
Vous cherchez Maple T.A. ou Möbius ?
DigitalEd, un partenaire technologique de Maplesoft, offre maintenant ces produits. En savoir plus.
Solutions
Enseignement
• Enseignement des mathématiques
• Enseignement de l’ingénierie
• Enseignement secondaire et supérieur
• S-SI STI2D
• Mathématiques du lycées
• CPGE
• Etudiants
• Ressources d’apprentissage à distance
Industrie
Automobile et aéronautique
• Véhicules électriques et électriques hybrides
• Groupe motopropulseur
• Dynamique véhicule
• Engins lourds de chantier
• Systèmes aéronautiques
• Systèmes spatiaux
Robotique
• Recherche en robotique
• Robotique/Contrôle de mouvement/Mécatronique
Conception de machine & automatismes industriels
• Conception de machine
• Fabrication
• Equipements miniers & pétroliers
• Manipulation de bandes
Autres
• Energie
• Modélisation financière
• Appareils médicaux
• Sciences de la vie
Domaines d’application
• Power Systems Engineering
• Electrical Engineering Calculations
• Mechanical Engineering Calculations
• Simulation & analyse système
• Mise en service virtuelle
• Conception de batteries
• Modélisation des transferts thermiques
• Analyse dynamique de mécanismes
• Utils d'analyse & de calcul de conception
• Développement de modèles HIL
• Analyse et atténuation des vibrations
Achats
Prix et d'achats
• Maple
• Maple Flow
• MapleSim
• Add-ons et connecteurs
• Demande de devis
Achats
• Boutique en ligne Maplesoft
• Mise à jour vers la dernière version
• Contacter notre service commercial
Licences institutionnelles Etudiants
• Virtualisation
• Licences Etudiants & options de distribution
Vue d’ensemble du service EMP
• EMP Overview
• Foire aux questions EMP
Support et Ressources
Support
• Support technique et service clients
• Foire aux questions
• Documentation produits
• Télécharger les mises à jour produits
Formation produit
• Centre d’assistance aux étudiants
• Formation produit en ligne
• Formation sur place
Aide en ligne Produit
• Aide en ligne Maple
• Aide en ligne MapleSim
Webinaires et évènements
• Webinaires en direct
• Webinaires enregistrés
• Agenda des évènements
Publications
• Livres blancs techniques
• Bulletin électronique
• Livres Maple
• Disciplines mathématiques
Hubs de contenu
• Centre de ressources pour enseignants
• Centre d’assistance aux étudiants
• Ressources d’apprentissage à distance
Exemples et applications
• Portail des applications
• Galerie de modèles MapleSim
• Cas d'Etudes Utilisateur
• Exploration des fondamentaux de l'ingénierie
• Concepts d’enseignement avec Maple
Communauté
• Forum MaplePrimes
• MapleCloud
• Maple Conference
Entreprise
A propos de Maplesoft
• Présentation de la société
• Direction
• Clients
• Mission Statement and Core Values
• Partenariats et Opportunitées OEMs
Ressources presse
• Communiqués de presse
• Cas d'Etudes Utilisateur
• Couverture médiatique
Communauté
• MaplePrimes
• Programme Ambassadeur Maple
• Maple Conference
Contacts
• Coordonnées internationales
• Recrutement
Home
Produits
Maple
Boîte à outils et add-ons Maple
Maple Learn
Maple Calculator App
Maple Flow
MapleSim
Connecteurs et bibliothèques de composants
Services Professionnels
Enseignement en ligne
Solutions
Éducation et Recherche
Ingénierie
Application Areas
Achats
Prix et d'achats
Boutique en ligne Maplesoft
Institutional Student Licensing
Programme de maintenance EMP
Support et Ressources
Support
Formation produit
Online Product Help
Webinaires en direct
Livres blancs techniques
Content Hubs
Examples & Applications
Communauté
Company
A propos de Maplesoft
Ressources presse
Communauté
Contact
Toggle navigation
Sign in
Register
Submit your work
Application Center
Authors
Profile
Edit Profile Picture
Roman Pearce
Member for 21 years, 7 months
0 Reputation
What is this?
1 Badges
What is this?
App Publisher
Roman Pearce has 3 apps in the Application Center
Showing the top 12.
View all
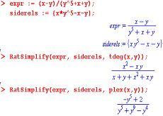
Simplification with Side Relations
Roman Pearce
3
Additional Functionality for PolynomialIdeals
Roman Pearce
2
Elliptic curve factoring method
Roman Pearce
4
cryptography
algorithm
number-theory
×
Reputation
Reputation is an indication of how other community members rate your input within MaplePrimes. When other members of MaplePrimes positively rate your content, your reputation increases.
For more details, visit
MaplePrimes
.
×
Badges
Badges are awarded for participation on a Maplesoft site, or for contributing content. For example, there is a badge awarded for submitting content to the Application Center, or for participating in the forums on
MaplePrimes
.