Application Center - Maplesoft

App Preview:

Moments and Centroids

You can switch back to the summary page by clicking here.

Learn about Maple
Download Application


 

Image 

Moments and Centroids 

? Maplesoft, a division of Waterloo Maple Inc., 2007 

Introduction 

This application is one of a collection of examples teaching Calculus with Maple. These applications use Clickable Calculus? methods to solve problems interactively. Steps are given at every stage of the solution, and many are illustrated using short video clips.  Click on theImage buttons to watch the videos. 

The steps in the document can be repeated to solve similar problems. 

 

Problem Statement 

Obtain the centroid (geometric center) of the planar region Typesetting:-mrow(Typesetting:-mi( bounded by the graphs of Typesetting:-mrow(Typesetting:-msub(Typesetting:-mi( and Typesetting:-mrow(Typesetting:-msub(Typesetting:-mi(, for Typesetting:-mrow(Typesetting:-mn(. 

Solution 

 

The coordinates of the centroid of Typesetting:-mrow(Typesetting:-mi( are given by 

Typesetting:-mrow(Typesetting:-mfenced(Typesetting:-mrow(Typesetting:-mover(Typesetting:-mrow(Typesetting:-mi(, 

 

where Typesetting:-mrow(Typesetting:-mi( is the area of Typesetting:-mrow(Typesetting:-mi( and  

Typesetting:-mrow(Typesetting:-msub(Typesetting:-mi( 

and 

Typesetting:-mrow(Typesetting:-msub(Typesetting:-mi( 

 

 

 

Step 

Result 

Visualize the region Typesetting:-mrow(Typesetting:-mi(. 

 

Enter the expressions for Typesetting:-mrow(Typesetting:-msub(Typesetting:-mi( and Typesetting:-mrow(Typesetting:-msub(Typesetting:-mi( separated by a comma, and press [Enter]. Right-click on the result. Plots>Plot builder and select 2-D plots and change the default domain to Typesetting:-mrow(Typesetting:-mn( to Typesetting:-mrow(Typesetting:-mfrac(Typesetting:-mi(, using the syntax Pi/4 for the right-hand bound.  

 

HyperlinkImage 

 

Typesetting:-mrow(Typesetting:-mi( 

sin(x), cos(x) (3.1)
 

 

Typesetting:-mo( 

Plot_2d
 

 

 

 

 

 

Construct the integrals for Typesetting:-mrow(Typesetting:-mi(, Typesetting:-mrow(Typesetting:-mo( and Typesetting:-mrow(Typesetting:-msub(Typesetting:-mi( 

 

Using the definite integral template in the Expression palette, enter the expressions for Typesetting:-mrow(Typesetting:-msub(Typesetting:-mi( ,  Typesetting:-mrow(Typesetting:-msub(Typesetting:-mi(, and Typesetting:-mrow(Typesetting:-mi( .  Press [Enter] to evaluate each integral. 

 

HyperlinkImage 

 

Typesetting:-mrow(Typesetting:-msubsup(Typesetting:-mo( 

`+`(`-`(1), `*`(`/`(1, 4), `*`(`^`(2, `/`(1, 2)), `*`(Pi)))) (3.2)
 

 

Typesetting:-mrow(Typesetting:-msubsup(Typesetting:-mo( 

`/`(1, 4) (3.3)
 

 

Typesetting:-mrow(Typesetting:-msubsup(Typesetting:-mo( 

`+`(`*`(`^`(2, `/`(1, 2))), `-`(1)) (3.4)
 

 

Compute the coordinates of the centroid. 

 

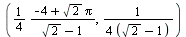
Using the equation labels ([Ctrl]+L, and enter the equation number), enter the expressions for Typesetting:-mrow(Typesetting:-mover(Typesetting:-mrow(Typesetting:-mi(and Typesetting:-mrow(Typesetting:-mover(Typesetting:-mrow(Typesetting:-mi( . Simplify (via the right-click menu) the expression for Typesetting:-mrow(Typesetting:-mover(Typesetting:-mrow(Typesetting:-mi(. 

 

HyperlinkImage 

 

 

Typesetting:-mrow(Typesetting:-mi( 

`/`(`*`(`+`(`-`(1), `*`(`/`(1, 4), `*`(`^`(2, `/`(1, 2)), `*`(Pi))))), `*`(`+`(`*`(`^`(2, `/`(1, 2))), `-`(1)))) (3.5)
 

Typesetting:-mover(Typesetting:-mo( 

`+`(`/`(`*`(`/`(1, 4), `*`(`+`(`-`(4), `*`(`^`(2, `/`(1, 2)), `*`(Pi))))), `*`(`+`(`*`(`^`(2, `/`(1, 2))), `-`(1))))) (3.6)
 

 

 

Typesetting:-mrow(Typesetting:-mi( 

`+`(`/`(`*`(`/`(1, 4)), `*`(`+`(`*`(`^`(2, `/`(1, 2))), `-`(1))))) (3.7)
 

 

 

Thus, the coordinates for the centroid are Typesetting:-mrow(Typesetting:-mfenced(Typesetting:-mrow(Typesetting:-mfrac(Typesetting:-mn(. 

 

Legal Notice: The copyright for this application is owned by Maplesoft. The application is intended to demonstrate the use of Maple to solve a particular problem. It has been made available for product evaluation purposes only and may not be used in any other context without the express permission of Maplesoft.   

Image