Calculus II
Lesson 1: Area Between Curves
Exercise 1
and
(a) Plot both functions on the same axes. (b) Find the area of the region enclosed between the curves from x = 0 to x = 6.
> restart:
> with(plots):
Warning, the name changecoords has been redefined
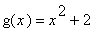
> g:= x -> x^2 + 2;
> f:= x -> 2*x + 5;
> a:= plot(g(x), x = -1..7, thickness=2, color = red):
> b:= plot(f(x), x = -1..7, thickness=2, color = brown):
> display({a,b});
We need to find the intersection points for these two plots.
> solve(x^2 + 2 - 2*x - 5, x);
The area enclosed by these curves from x = 0 to x = 5 is
+
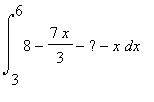
> int(2*x + 5 - x^2 - 2, x = 0..3);
> int(x^2 + 2 - 2*x - 5, x = 3..6);
Thus the total are enclosed is 27 + 9 = 36 sq units.
Let's redo the plot where we shade the areas in question.
> m:= plot(f(x), x = 0..7, thickness=2, color = magenta, axes=boxed):
> n:= plot(g(x), x = 0..7, thickness=2, color = blue,axes=boxed):
> p:= seq( plot([0 + i * (3/100) , t, t = g(0 + i*(3/100))..f(0 + i * (3/100))], thickness=2, color=red), i = 0..99):
> q:= seq( plot([3 + i * (3/100), t, t = f(3 + i *(3/100))..g(3 + i *(3/100))], thickness=2, color = brown), i = 1..100):
> r:= textplot([6,45,`g`], align=RIGHT):
> s:= textplot([6.5,7,`f`],align=RIGHT):
> display({m,n,p,q,r,s});
Exercise 2
The parabola is tangent to the graph of at two points and the area of the region bounded by their graphs is 10. Find a, b, and c. Make a sketch.
Solution :
The axis of the parabola is . That is also the axis of , so , or . The point where the slope of the parabola is 1 is on both graphs. Call the point [ ]. Then and .
> restart;
> eq1 := x0-1 = a*x0^2 -6*a*x0 + c;
> eq2 := 1 = 2*a*x0 - 6*a;
> ac := solve({eq1,eq2},{a,c});
Finally, the area between the curves is 100, so the righthand half is 50.
> eq3 := Int (a*x^2-6*a*x+c-(2+x-3),x=3..x0)=50;
> eq3 := int (a*x^2-6*a*x+c-(2+x-3),x=3..x0)=50;
> sol :=solve(subs(ac,eq3),x0);
> assign({x0=sol[1]}); assign(ac);
> plot([2+abs(x-3),a*x^2-6*a*x+c],x=sol[2]-2..sol[1]+2,thickness=2, color=[red,green], thickness=2);
Exercise 3
Sketch the region bounded by the given curves and find the area of the region.
x = 3y, x + y = 0, 7x + 3y = 24.
> f:= x -> x/3;
> g:= x -> -x;
> h:= x -> (24 - 7*x) / 3;
> a:= plot(f(x), x = -.5..7, thickness=2, color = brown):
> b:= plot(g(x), x = -.5..7, thickness=2, color = blue):
> c:= plot(h(x), x = -.5..7, thickness=2, color = magenta):
> d:= textplot([6,4,`f`], thickness=2, color = brown):
> e:= textplot([1.5,7,`h`], thickness=2, color = magenta):
> k:= textplot([2,-4,`g`], thickness=2, color = blue):
> p:= seq( plot([0 + i * (3/50) , t, t = g(0 + i*(3/50))..f(0 + i * (3/50))], thickness=2, color=red), i = 1..50):
> q:= seq( plot([3 + i * (3/50), t, t = g(3 + i *(3/50))..h(3 + i *(3/50))], thickness=2, color = brown), i = 0..49):
> display({a,b,c,d,e,k,p,q});
We need to find the points of intersection.
We set f = g, h = g, and h = f.
> solve(f(x) = g(x), x);
> solve(h(x) = g(x), x);
> solve(h(x) = f(x), x);
Hence the desired area is given by
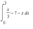
> int(x/3 + x, x= 0..3);
> int(8 - (7*x)/3 + x, x = 3..6);
Thus total area is 12 sq units.
Exercise 4
For what values of m do the line y = mx and the curve y =
enclose a region? Find the area of the region.
First lets plot the curve y =
along with an example of y = mx, where say m = .
.
> plot({x/2, x/(x^2 + 1)}, x = -.5...5, thickness=2);
We need to determine how large the slope m can be and still enclose
a region. From the above plot, the magnitude of m is determined
by the derivative of the curve y = at x = 0.
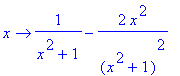
> f:= x -> x / (x^2 + 1);
> D(f);
> %(0);
Thus f ' (0) = 1. Hence a region is enclosed provided 0 < m < 1.
Let's replot the curve and shade the region enclosed for an example m, say m = 1/4.
Then we calculate the area for an arbitrary value of m.
> g:= x -> (1/4) * x;
> a:= plot(f(x), x = 0..2, thickness=2, color = blue):
> b:= plot(g(x), x = 0..2, thickness=2, color = brown):
> p:= seq( plot([0 + i * (sqrt(3)/50) , t, t = g(0 + i*(sqrt(3)/50))..f(0 + i * (sqrt(3)/50))], thickness=2, color=red), i = 1..49):
> display({a,b,p});
> solve( x / (x^2 + 1) = m * x,x);
Thus the intersection of the two curves is precisely when x = .
Hence the area is enclosed is given by:
Let's have maple do the integration.
> int(x / (x^2 + 1) - m*x, x = 0..sqrt(-m*(-1+m))/m);
Thus the area enclosed, for 0 < m < 1, is precisely:
Exercise 5
Find the value of d such that the area of the region bounded by the
parabolas y = - and y = -
is 576.
Let's get a sample picture. Say d = 3.
> f:= x -> x^2 - 9;
> g:= x -> 9 - x^2;
> a:= plot(f(x), x = -4..4, thickness=2, color = brown):
> b:= plot(g(x), x = -4..4, thickness=2, color = blue):
> c:= seq( plot([-3 + i * (6/50) , t, t = f(-3 + i*(6/50))..g(-3 + i * (6/50))], thickness=2, color=red), i = 1..49):
> display({a,b,c});
We can see from the above plot that in the general case the functions f and g intersect
at d and -d.
The enclosed area is given by
> int(2* d^2 - 2* x^2, x = -d..d );
> solve((8/3)*d^3 = 576, d)[1];
>
Thus when d = 6 or -6, the region enclosed has area 576.