Application Center - Maplesoft

App Preview:

Partial Differential Equations: Complete Set of Lessons

You can switch back to the summary page by clicking here.

Learn about Maple
Download Application


 

01LnSpc.mws

Partial Differential Equations PowerTool

by Dr. Jim Herod

Section 1.1: Linear Spaces

Maple Packages for Section 1.1

>    with(LinearAlgebra):

>   

There is an elementary idea in mathematics that is so important that it crosses the curriculum. It is the notion of a linear space. Many examples come to mind. Consider the linear space of points in the plane, or the linear space of vectors at which a particular matrix is zero, or the linear space of continuous functions on the interval [0,1]. This elementary idea of a linear space will be valuable enough in this collections of lectures on partial differential equations to say again what it is.

Definition:  A linear space of functions  is a collection of functions all having the same domain such that

(a) if f   and   g   belongs to the collection, then   f + g   does also, and

(b) if f is in the collection and r  is a number then   r f   is also in the collection.

In these lectures, whenever I give a definition, I will try to give some examples of things that satisfy the definition and some things that do not. Here are some collections: some are linear spaces, some are not.

Collections.

R^3 :   the collection of three dimensional vectors . This is a linear space. You know how to add objects in this collection and how to multiple them by numbers.
Question: Suppose u = [1, 2, 3] and v = [4, 5, 6]. Suppose r is a number. What is u + v and r u?

The Answer Using Maple.

>    u:=Vector([1,2,3]); v:=Vector([4,5,6]);

u := Vector(%id = 18779048)

v := Vector(%id = 18872432)

>    'u+v'=Add(u,v);
'r*u'=Multiply(r,u);

u+v = Vector(%id = 16823468)

r*u = Vector(%id = 16620780)

>   

Points in R^3  with last component 1:  A typical vector in this collection is [a, b, 1], where a and b are real numbers.

Question:  Is this collection a linear family?

The Answer Using Maple.

Just look. The sum of two vectors in this collection is not in the collection.

>    u:=<1,2,1>; v:=<4,5,1>;

u := Vector(%id = 2837256)

v := Vector(%id = 2940836)

>    'u+v'=u+v;

u+v = Vector(%id = 3052436)

>    unassign('u');

C([0,1]): the collection of continuous functions with domain [0,1].  An example of a function in this collection is x^2 . A function not in this collection is 1/x, for this function does not have 0 in its domain. We know that the sum of two continuous functions with domain [0, 1] is continuous and has domain [0, 1]. This is true if the function is multiplied by a number, too.

Question:  Give an example of a function with domain [0, 1] that is not in this collection.

The Answer Using Maple.

We have only to describe a function with domain [0,1] that is not continuous.

>    f:=x->signum(x-1/2);

f := proc (x) options operator, arrow; signum(x-1/2) end proc

>    plot(f(x),x=0..1,view=[0..1,-1..1],discont=true);

[Maple Plot]

>   

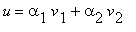
When considering a linear space, it is common to identify a finite collection of elements of the space having the property that every other vector can be written as a finite linear combination of these. That is, it is common to identify a collection of elements { v[1], v[2] , ..., v[n]  } having the property that if u  is any vector in the linear family, then u can be written as a linear  combination of the v 's:        

                                       u = alpha[1]*v[1]+alpha[2]*v[2]   + ... +   alpha[n]*v[n]  ,

where the alpha 's are numbers. In this case we say that the v 's span  the vector space.   If the v 's are linearly independent, we call them a basis .

Definition:  A basis  for a vector space is a collection of linearly independent vectors { v[1], v[2] , ..., v[n]  } such that any vector in the space can be written as a linear combination of these.

Basis Vectors

The collection of vectors { [1, -1, 0], [1, 1, 0], [0, 0, 1] }.  This collection is linearly independent and spans R^3 .

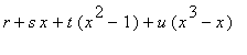
Question: Give numbers r , s , and t  such that [ a, b, c ] = r*[1, -1, 0]+s*[1, 1, 0]+t*[0, 0, 1] .

The Answer Using Maple

>    T1:=Multiply(r, <1,-1,0>);
T2:=Multiply(s, <1,1,0>);
T3:=Multiply(t, <0,0,1>);

T1 := Vector(%id = 3159464)

T2 := Vector(%id = 3225184)

T3 := Vector(%id = 15974716)

>    rightside:=T1+T2+T3;

rightside := Vector(%id = 15973036)

>    solve({a=rightside[1],b=rightside[2],c=rightside[3]},{r,s,t});

{t = c, s = 1/2*a+1/2*b, r = -1/2*b+1/2*a}

>   

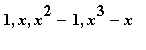
The collection of functions { 1, x, x^2-1, x^3-x }.  This collection is linearly independent and spans the linear space of cubic polynomials.

Question:  Give numbers r , s , t, and  u  such that 1+x+x^2+x^3  = r+s*x+t*(x^2-1)+u*(x^3-x) .

The Answer Using Maple

>    poly:=r+s*x+t*(x^2-1)+u*(x^3-x);

poly := r+s*x+t*(x^2-1)+u*(x^3-x)

We collect together all the powers of x.

>    collect(poly,x);

u*x^3+t*x^2+(s-u)*x+r-t

We equate coefficients for the two representations of the polynomial.

>    sol := solve({u=1,t=1,s-u=1,r-t=1},{r,s,t,u});

sol := {s = 2, r = 2, u = 1, t = 1}

Verify the solution.

>    eval(poly, sol);

1+x+x^2+x^3

The collection of vectors { [1, -1, 1], [1, 1, 1], [1, 0, 1] }.  This collection is not a basis for R^3 .

Question: Show this collection is not a basis in two different ways.

The Answer Using Maple

First method:  we show that the vectors are not linearly independent. Most undergraduate linear algebra courses develop many ways to answer this question. We simply use the definition and show the vectors are not linearly independent. In order to do this we ask if there are non-zero numbers a, b,  and c  such that

                         a  [1, -1, 1] + b  [1, 1, 1] + c  [1, 0, 1] = 0.

>    solve({a+b+c=0,-a+b=0,a+b+c=0},{a,b,c});

{a = b, c = -2*b, b = b}

We find that b  can be anything, a must have the same value, and c  = - 2 b . For example, take a  = 1, b  = 1, and c  = -2.

Second method: we give a vector in R^3  that can not be written as a linear combination of these three. It is not in their span. There are methods developed for doing this with matrices in most undergraduate linear algebra courses, but it would take us astray to develop these. Here, we note that each of the vectors has the first and last coordinates equal. Any vector in their span must have the same property. Check this by showing that no linear combination of the vectors will give the vector [1, 1, 2].

>    solve({a+b+c=1, -a+b=1, a+b+c=2},{a,b,c});

We get no answer.

The world that we observe is most often non-linear. To understand the phenomena that we observe in the world, we need to have an understanding of non-linear differential equations  -- non-linear ordinary differential equations and non-linear partial differential equations. Undergraduate studies in ordinary differential equations no doubt spent considerable time on the linear theory and some development of the non-linear theory. A good understanding of the linear theory opens doors into understanding the nonlinear theory. Here, again, we begin to try to understand the structure of linear partial differential equations. First, be reminded what is a linear function, or a linear operator, on a linear space.

Definition:  A linear operator  L is a function with domain a vector space and for which

                     L ( a x + y  ) = a L(x) + L(y)

for all vectors x  and y  in the vector space and all numbers a .

Definition:  The null space  of a linear operator L  is the collection of vectors x  for which

                         L(x) = 0.

If the determinant of a square matrix is zero, then it has a non-trivial null space.

Question:  Evaluate the determinant and find the nullspace of the following matrix:

                      M:= matrix([[1, 1, 1], [-1, 1, 0], [1, 1, 1]])  .

The Answer Using Maple

We find the determinant of M.

>    M:=Matrix([[1,1,1],[-1,1,0],[1,1,1]]);

M := Matrix(%id = 17669204)

>    Determinant(M);

0

We find the null space.

>    NullSpace(M);

{Vector(%id = 17791232)}

The response we get is that the vector [1, 1, -2] is in the nullspace. We check this

>    M.<1,1,-2>;

Vector(%id = 18287004)

Bingo! 'Tis.

>   

Linear operators can be differential operators.

Question:  Find the null space for both these linear operators on the space of twice differentiable functions.

                    L(y) = y '' - y ' - 2 y          and          L(y) = y '' +  y ' - 2 y .

The Answer Using Maple

To answer this question, we are asked to solve two second order, constant coefficient differential equations such as we solved in undergraduate differential equations, likely even in calculus.

>    dsolve(diff(y(x),x,x)-2*diff(y(x),x)-2*y(x)=0,y(x));

y(x) = _C1*exp((1+3^(1/2))*x)+_C2*exp(-(3^(1/2)-1)*x)

>    dsolve(diff(y(x),x,x)+2*diff(y(x),x)+2*y(x)=0,y(x));

y(x) = _C1*exp(-x)*sin(x)+_C2*exp(-x)*cos(x)

It is important to understand the answer Maple has presented. In both cases, Maple has provided two functions f(x) and g(x) and stated that all combinations C[1]  f(x) + C[2]  g(x) form solutions. Humans might have said that the null space for these differential operators is a two dimensional vector space. In fact, here is the basis for the null space of each.

>    dsolve(diff(y(x),x,x)-2*diff(y(x),x)-2*y(x)=0,y(x),output=basis);

[exp((1+3^(1/2))*x), exp((-3^(1/2)+1)*x)]

>    dsolve(diff(y(x),x,x)+2*diff(y(x),x)+2*y(x)=0,y(x),output=basis);

[exp(-x)*sin(x), exp(-x)*cos(x)]

This section has served to remind you of those important ideas from linear algebra. These ideas are core in this course. But these are chiefly algebraic ideas. In an analysis course, we need to have a sense of closeness. Thus, we next turn to the geometry of vector spaces. Among other things, we define a distance. We need to have a way to measure distance so that  if you are given two vectors -- or two functions -- in a linear space, you may expect to be able to determine how far apart they are.

These geometric ideas are the subjects of the next lectures

.

EMAIL: herod@math.gatech.edu   or    jherod@tds.net

URL: http://www.math.gatech.edu/~herod

Copyright  2003  by James V. Herod

All rights reserved