Application Center - Maplesoft

App Preview:

Inverse functions, their tangent lines, and their derivatives

You can switch back to the summary page by clicking here.

Learn about Maple
Download Application


 

Inv2_Tang_Derivative.mws

Calculus II -- worksheet 2

Inverse functions, their tangent lines, and their derivatives

Author: Carl Devore <devore@math.udel.edu>

13 February 2002

Audience:

Second-semester calculus students.

Objectives:

    1.  Learn how to restrict the domain of a function so that an inverse can be defined.

    2.  Explore graphical properties of  inverse functions.

    3.  Verify the Inverse Function Theorem.

    4.  Learn how to put together a complicated plot.

    5.  Show how Maple can be used to prove a simple, yet general, theorem.

New Maple Commands/Concepts used:

    restart, solve, D, diff, evalf, simplify, unapply, is, limit, {}, [], %, #, ||, '', if, map, seq, zip, eval, subs, min, max, with, display, RootOf

The problem (in general):

Take a function and over each interval of increase or decrease define an inverse.  Plot the function, the inverses, their derivatives, and some selected tangent lines.

It is a good idea to start most worksheets with the 'restart' command.  This clears the values of previously defined variables, which is not automatically done when you open a new worksheet.

>    restart;

Maple does not provide any response to a restart command.

The function that I want to start with is x/(x^2+1) .

Find the intervals of increase and decrease

First define the function as a Maple operator, rather than as an expression.  (What we ordinarily call functions, Maple calls operators, whereas the word function itself has a slightly different meaning to Maple.)

>    f:= x-> x/(x^2+1);

f := proc (x) options operator, arrow; x/(x^2+1) end proc

To get some idea of what we are working with, I'll plot the function over an arbitrary range.

>    plot(f, -10..10);

[Maple Plot]

So, there are three intervals of increase or decrease.  Let's get the critical points.  First, I'll get the derivative and call it Df.  The command D  takes the derivative of a operator (whereas the command diff takes the derivative of an expression).

>    Df:= D(f);

Df := proc (x) options operator, arrow; 1/(x^2+1)-2*x^2/(x^2+1)^2 end proc

Clearly, that expression could be and should be simplified.  Df is a operator, and the simplify  command won't work on it.  I'll have to work with an expression and then convert it to a function.  Note that if f is an operator, then f(x) is an expression.  

>    f(x);

x/(x^2+1)

And I take the derivative of that with diff.

>    Df:= diff(f(x), x);

Df := 1/(x^2+1)-2*x^2/(x^2+1)^2

Note that diff  requires a second argument:  The final x tells it to take the derivative with respect to x.  Let's simplify it.

>    Df:= simplify(Df);

Df := -(x^2-1)/(x^2+1)^2

Note that I reused the name Df  (because I have no interest in saving the unsimplified form).  Let's find the critical points.  The second argument to solve is the variable to solve for.

>    CritPts:= solve(Df=0, x);

CritPts := -1, 1

Now if we combine that information with the plot, it is clear that f is one-to-one (injective) on each of the domains ``(-infinity,-1), [-1, 1], ``(1,infinity) .  (Henceforth, I will use the word "injective" rather than the abomination "one-to-one".)  Furthermore, f is still injective on the two-interval domain `union`(``(-infinity,-1),``(1,infinity)) .

As I am writing this, -1 is the answer on the left.  However, I cannot know if that will be true for you; solve  does not necessarily give the answers in numerical order.  I want a  to be the lesser critical point and b  the greater.  The following command will ensure that.

>    a:= min(CritPts); b:= max(CritPts);

a := -1

b := 1

Note that min  and max  just find the smallest and largest values in a finite sequence.  This is not the same as finding minima or maxima of a function.

Find the inverse functions by solving the equation y=f(x)  for x  as a function of y

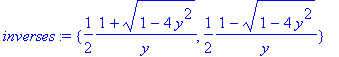
We use solve .  If you do the algebra on paper (you should do it!), you will see that you get a quadratic equation in x .  Therefore, you should expect solve  to give two answers.  Also, the number of answers should be the maximal number of times that any horizontal line crosses the graph of  f, which is also the minimal number of domain restrictions needed to divide f into injective pieces.

>    solve(y=f(x), x);

1/2/y*(1+sqrt(1-4*y^2)), 1/2/y*(1-sqrt(1-4*y^2))

Now I want to manipulate those answers individually.  I have to save those answers as a set and give the set a name.  Anything can be made into a set by enclosing it in {}.  The result of the last computation is accessed by %.  (This is like using the ans key on a TI calculator).  

>    inverses:= {%};

inverses := {1/2/y*(1+sqrt(1-4*y^2)), 1/2/y*(1-sqrt(1-4*y^2))}

Warning:   % refers to the most recent result that you actually computed.  That is not necessarily the same thing as the result that appears immediately above your current position on the screen.   It is very common for new users to make mistakes because of this.

You can extract the members of a set or a list by using []:

>    inverses[1];

1/2/y*(1+sqrt(1-4*y^2))

>    inverses[2];

1/2/y*(1-sqrt(1-4*y^2))

I want to make the inverses into operators. The command unapply  converts an expression into an operator.  The second argument to unapply is the variable that appears in the expression that you want to make into the parameter of the operator.  

>    g1:= unapply(inverses[1], y);

g1 := proc (y) options operator, arrow; 1/2/y*(1+sqrt(1-4*y^2)) end proc

>    g2:= unapply(inverses[2], y);

g2 := proc (y) options operator, arrow; 1/2/y*(1-sqrt(1-4*y^2)) end proc

The two commands above are essentially the same, and I hate having to repeat the same command.  The map command will take a command and apply to every member of a set or list.

>    g:= map(unapply, inverses, y);

g := {proc (y) options operator, arrow; 1/2/y*(1+sqrt(1-4*y^2)) end proc, proc (y) options operator, arrow; 1/2/y*(1-sqrt(1-4*y^2)) end proc}

Separate the individual members:

>    g1:= g[1]; g2:= g[2];

g1 := proc (y) options operator, arrow; 1/2/y*(1+sqrt(1-4*y^2)) end proc

g2 := proc (y) options operator, arrow; 1/2/y*(1-sqrt(1-4*y^2)) end proc

The separation can also be done with the single command

>    g1,g2:= g[];

g1, g2 := proc (y) options operator, arrow; 1/2/y*(1+sqrt(1-4*y^2)) end proc, proc (y) options operator, arrow; 1/2/y*(1-sqrt(1-4*y^2)) end proc

Now we need to figure out which inverse goes with which domain.  How could such a thing be determined?  The range of  an inverse is the domain the original function.  The line y = 1/4  crosses the graph of  f  twice, so we evaluate the inverses there.

>    g1(1/4); g2(1/4);

2+1/2*sqrt(3)*sqrt(4)

2-1/2*sqrt(3)*sqrt(4)

Note that those commands can be combined as

>    [g1, g2](1/4);

[2+1/2*sqrt(3)*sqrt(4), 2-1/2*sqrt(3)*sqrt(4)]

It is not clear which intervals each of those is in.  The command evalf  converts numeric expressions into decimal form.

>    evalf(%);

[3.732050808, .267949192]

Note that evalf automatically mapped over the list.

As I am writing this, I got g1(1/4)=3.73... and g2(1/4)=0.26....  The definitions of g1 and g2 might be reversed for you.  You cannot guarantee the order that solve will return things.  The following command will ensure that we are talking about the same order.  Briefly, the command below says that if g1(1/4) is between a  and b  (-1 and 1), then g1 and g2 should be swapped.  Note that lines beginning with #  are comments rather than commands.  The reason for the eval 's is that operator names are not automatically expanded to their definitions.  Note that fi  (which is if  spelled backwards) denotes the end of the if  command.  You can also say end if or simply end , but I prefer the briefer notation.     

>    if is(a <= g1(1/4)) and is(g1(1/4) <= b) then
   # Swap g1 and g2
   temp:= eval(g1); g1:= eval(g2); g2:= eval(temp)
fi;  

At this point, I am sure that g2 corresponds to the f domain [-1,1], and g1 corresponds to the other domain.

>    g2(x);

1/2/x*(1-sqrt(1-4*x^2))

Note that g2 is not defined at 0, yet 0 is in the corresponding f domain [-1,1].  That is because if y =0, the equation y = f(x)  is not a true quadratic equation (try it by hand and see for yourself), and hence the quadratic formula that the solve command used is not valid for that point.  But the Inverse Function Theorem says that g2 must be continuous.  However, if we just define g 2(0) to be 0, everything will be okay.  This makes g2  continuous, as you can see from the following limit:

>    limit(g2(x), x= 0);

0

Note that in Maple's limit command the word "limit" is spelled out, and proc (x) options operator, arrow; 0 end proc  is indicated by the x= 0.  

There is no real need in this problem to tell Maple that g2(0)=0 , but I might as well show you how it's done anyway.  It's very simple:

>    g2(0):= 0;

g2(0) := 0

Compute the tangent lines to f at selected points in each interval

I'll use the points -3/2, 1/2, 3/2.

>    X:= [-3/2, 1/2, 3/2]:

The tangent line at 1/2 can be expressed as an operator as follows:

>    Tf:= D(f)(1/2)*(x-1/2)+f(1/2);

Tf := 12/25*x+4/25

We can generalize the procedure for finding tangent lines.  Write an operator that takes a function and a specific point and returns the tangent line at that point.

>    tangent_line:= (h,x0)-> D(h)(x0)*('x'-x0) + h(x0);

tangent_line := proc (h, x0) options operator, arrow; D(h)(x0)*(('x')-x0)+h(x0) end proc

Note that for an operator with two or more parameters, the parameters are put in parentheses before the arrow.  The forward quotes on the x ensure that the above will work even if  the variable x has already been assigned a value.

Test.

>    Tf:= tangent_line(f,1/2);

Tf := 12/25*x+4/25

That's what we wanted.

Note that the expression D(h)(x0) means to evaluate the function D(h) at the point x0.  That's not the same as D(h(x0)).

Now I want the tangent lines for all three values of x0.  Remember map  from above?  Its first argument is an operator.

>    Tf:= map(x0-> tangent_line(f,x0), X);

Tf := [-20/169*x-108/169, 12/25*x+4/25, -20/169*x+108/169]

Find the corresponding tangent lines to the inverses.  Verify the derivatives predicted by the Inverse Function Theorem.

Now that I have given a general tangent_line procedure, this is easy.  The points X[1] = -3/2 and X[3]= 3/2 are in the range of g1, and X[2]=1/2 is in the range of g2

>    Tg:= tangent_line(g1,f(X[1]));

Tg := (-169/72-169/1800*sqrt(25)*sqrt(169))*(x+6/13)-13/12-1/156*sqrt(25)*sqrt(169)

That's not what I expected.  I'll try to simplify it.

>    simplify(Tg);

-169/20*x-27/5

That's better.  You can see that the slopes of the tangent lines are reciprocals.

The fact that I needed to simplify indicates that I should have simplified right in the definition of the procedure tangent_line.  So, I will redefine tangent_line:

>    tangent_line:= (h,x0)-> simplify(D(h)(x0)*('x'-x0) + h(x0));

tangent_line := proc (h, x0) options operator, arrow; simplify(D(h)(x0)*(('x')-x0)+h(x0)) end proc

Better test the new procedure:

>    tangent_line(f,X[1]);

-20/169*x-108/169

>    Tg:= tangent_line(g1,f(X[1]));

Tg := -169/20*x-27/5

It works.

By the Inverse Function Theorem, we should have g1'(y) = 1/f '(g1(y)).   That's clearly the case for our chosen point y = f(-3/2), but I'll have Maple verify it for arbitrary points.  

>    D(g1)(y);

-1/2/y^2*(1+sqrt(1-4*y^2))-2/(1-4*y^2)^(1/2)

>    1/D(f)(g1(y));

1/(1/(1/4/y^2*(1+sqrt(1-4*y^2))^2+1)-1/2*1/y^2*(1+sqrt(1-4*y^2))^2/(1/4/y^2*(1+sqrt(1-4*y^2))^2+1)^2)

Are they the same?  It's hard to tell.  One way to get Maple to verify that two things are equal is to subtract the two things, simplify the resulting expression, and see if you get zero.

>    simplify( % - %% );

0

So they're equal.  Note that %%  refers to the second-most-recently-computed expression.  There's also %%% , but you can't go back four or more levels.

Let's get all three corresponding inverse tangent lines.

>    Tg:= [tangent_line(g1, f(X[1])), tangent_line(g2, f(X[2])), tangent_line(g1, f(X[3]))];

Tg := [-169/20*x-27/5, 25/12*x-1/3, -169/20*x+27/5]

Once again, I'd like to avoid needless repetition.  The zip command is like map , but is used for two-argument operators.

>    Tg:= zip(tangent_line, [g1,g2,g1], map(f,X));

Tg := [-169/20*x-27/5, 25/12*x-1/3, -169/20*x+27/5]

Plot it all

First I'll plot the parts corresponding to the central interval [-1,1].  Note that the order of colors in the colorlist corresponds to the order of the expressions in the expression list.  In a list (things that are in square brackets), the order is significant.  Any item in a list can be repeated any number of times by using the '$'.

>    colorlist:= [red, blue, grey, green$2, plum$2]:

>    plot([f(x), g2(x), x, Df, D(g2)(x), Tf[2], Tg[2]]
     ,x= a..b, y= -1..2
     ,scaling=constrained
     ,color= colorlist
     );

[Maple Plot]

So the blue is f, red is the inverse, the lower green is f ', upper green is the derivative of the inverse, and the plums are the tangent lines.  I want to save that plot in a variable so I can combine with other plots later.  Note that I extended the y-range of the plot to 2 in order to include the derivative of the inverse.

>    Plot1:= %:

Now let's do the same for the left interval.  I'll restrict it to [-2,-1].

>    plot([f(x), g1(x), x, Df, D(g1)(x), Tf[1], Tg[1]]
    ,x= -2..0, y= -2..0
    ,scaling=constrained
    ,color= colorlist);

[Maple Plot]

Note that I have to extend the plotting range in order to get the inverse in the picture.

>    Plot2:= %:

Do the right interval.

>    plot([f(x), g1(x), x, Df, D(g1)(x), Tf[3], Tg[3]]
    ,x= 0..2, y= 0..2
    ,scaling= constrained
    ,color= colorlist);

[Maple Plot]

>    Plot3:= %:

Now I want to put the three plots together.  The command for that is display .  Maple has many thousands of commands, and they are not all immediately available when Maple is started.  They are grouped into sets called packages.  The package plots  contains display .  The with  command "loads" a package so that all of the package's commands are available.  

>    with(plots);

Warning, the name changecoords has been redefined

[animate, animate3d, animatecurve, arrow, changecoords, complexplot, complexplot3d, conformal, conformal3d, contourplot, contourplot3d, coordplot, coordplot3d, cylinderplot, densityplot, display, displ...
[animate, animate3d, animatecurve, arrow, changecoords, complexplot, complexplot3d, conformal, conformal3d, contourplot, contourplot3d, coordplot, coordplot3d, cylinderplot, densityplot, display, displ...
[animate, animate3d, animatecurve, arrow, changecoords, complexplot, complexplot3d, conformal, conformal3d, contourplot, contourplot3d, coordplot, coordplot3d, cylinderplot, densityplot, display, displ...
[animate, animate3d, animatecurve, arrow, changecoords, complexplot, complexplot3d, conformal, conformal3d, contourplot, contourplot3d, coordplot, coordplot3d, cylinderplot, densityplot, display, displ...
[animate, animate3d, animatecurve, arrow, changecoords, complexplot, complexplot3d, conformal, conformal3d, contourplot, contourplot3d, coordplot, coordplot3d, cylinderplot, densityplot, display, displ...
[animate, animate3d, animatecurve, arrow, changecoords, complexplot, complexplot3d, conformal, conformal3d, contourplot, contourplot3d, coordplot, coordplot3d, cylinderplot, densityplot, display, displ...
[animate, animate3d, animatecurve, arrow, changecoords, complexplot, complexplot3d, conformal, conformal3d, contourplot, contourplot3d, coordplot, coordplot3d, cylinderplot, densityplot, display, displ...

The above list shows the new commands that are now available.  In the next command, Plot||(1..3) is a shorthand for Plot1, Plot2, Plot3.

>    display(Plot||(1..3), title= `Graphical properties of inverse functions`);

[Maple Plot]

The blue parts should be connected, but Maple has some difficulty plotting parts of a curve where there is a vertical tangent.  I could correct this, but that is a little too complicated to go into right now.  Note the reciprocal relationhip of the two derivatives.  The negative parts the of derivative of the inverse are so far into the negative range that it would distort the plot too much if I tried to include them.

Find a point where corresponding tangent lines intersect

>    ans:= solve(Tf[1]=Tg[1], x);

ans := -4/7

We can get y-value of the point of intersection by evaluating either line at that x.

>    eval(Tf[1], x= ans);

-4/7

So these tangent lines intersect on the line y=x.  Intuition suggests that this will always be the case.  Let's see if we can prove that with Maple.

Prove a simple, yet general, theorem with Maple

Theorem:   Let   f   be a function which is injective on an interval and differentiable at a point x[0]  in that interval.  Let g  be the inverse of   f .  Let L[1]  be the tangent line to f  at x[0]  and let L[2]  be the tangent line to g  at x = f(x[0]) .  Then either L[1]  and L[2]  intersect on the line y = x , or `f '`(x[0]) = 1 , or `f '`(x[0])  = 0.

Proof:

>    restart;

Now all previous variable definitions are erased.  

We take f as a completely arbitrary function and define g as its inverse:

>    g:= unapply(solve(y=f(x), x), y);

g := proc (y) options operator, arrow; RootOf(f(_Z)-y) end proc

RootOf  is Maple's way of expressing the solution to an equation that it does not know how to solve.  ( RootOf  can mean some other things also.)  Of course, the equation y = f(x)  cannot be explicitly solved if you don't know what f  is.  However, even if Maple cannot not explicitly solve an equation, it can still know some things about the solution:

>    D(g);

proc (y) options operator, arrow; 1/D(f)(RootOf(f(_Z)-y)) end proc

That shows that Maple knows the Inverse Function Theorem.

>    tangent_line:= (h,a)-> D(h)(a)*(x-a)+h(a):

>    L[1]:= tangent_line(f, x0);

L[1] := D(f)(x0)*(x-x0)+f(x0)

>    L[2]:= tangent_line(g, f(x0));

L[2] := 1/D(f)(RootOf(-f(_Z)+f(x0)))*(x-f(x0))+RootOf(-f(_Z)+f(x0))

If f  is injective, the only root of the equation f(_Z)-f(x[0])  = 0 is _Z = x[0] .  (Recall that injective means that f  can be cancelled from the equation f(x) = f(y) .)  If `f '`(x[0])  = 0, then of course the above tangent line is invalid.  

>    RootOf(f(_Z)-f(x0)):= x0:

Get the x-coordinate of the intersection of the tangents.

>    x_int:= solve(L[1]=L[2], x);

x_int := (-f(x0)+D(f)(x0)*D(f)(RootOf(-f(_Z)+f(x0)))*x0-f(x0)*D(f)(RootOf(-f(_Z)+f(x0)))+RootOf(-f(_Z)+f(x0))*D(f)(RootOf(-f(_Z)+f(x0))))/(D(f)(x0)*D(f)(RootOf(-f(_Z)+f(x0)))-1)
x_int := (-f(x0)+D(f)(x0)*D(f)(RootOf(-f(_Z)+f(x0)))*x0-f(x0)*D(f)(RootOf(-f(_Z)+f(x0)))+RootOf(-f(_Z)+f(x0))*D(f)(RootOf(-f(_Z)+f(x0))))/(D(f)(x0)*D(f)(RootOf(-f(_Z)+f(x0)))-1)

If   `f '`(x[0]) = 1 , then the above is invalid.   But the cases `f '`(x[0]) = 0  and `f '`(x[0]) = 1  are excluded in the conclusion of the theorem.  Get the y-coordinate of the intersection.

>    y_int:= subs(x= x_int, L[1]);

y_int := D(f)(x0)*((-f(x0)+D(f)(x0)*D(f)(RootOf(-f(_Z)+f(x0)))*x0-f(x0)*D(f)(RootOf(-f(_Z)+f(x0)))+RootOf(-f(_Z)+f(x0))*D(f)(RootOf(-f(_Z)+f(x0))))/(D(f)(x0)*D(f)(RootOf(-f(_Z)+f(x0)))-1)-x0)+f(x0)
y_int := D(f)(x0)*((-f(x0)+D(f)(x0)*D(f)(RootOf(-f(_Z)+f(x0)))*x0-f(x0)*D(f)(RootOf(-f(_Z)+f(x0)))+RootOf(-f(_Z)+f(x0))*D(f)(RootOf(-f(_Z)+f(x0))))/(D(f)(x0)*D(f)(RootOf(-f(_Z)+f(x0)))-1)-x0)+f(x0)
y_int := D(f)(x0)*((-f(x0)+D(f)(x0)*D(f)(RootOf(-f(_Z)+f(x0)))*x0-f(x0)*D(f)(RootOf(-f(_Z)+f(x0)))+RootOf(-f(_Z)+f(x0))*D(f)(RootOf(-f(_Z)+f(x0))))/(D(f)(x0)*D(f)(RootOf(-f(_Z)+f(x0)))-1)-x0)+f(x0)

>    simplify(x_int - y_int);

(D(f)(x0)*D(f)(RootOf(-f(_Z)+f(x0)))*x0-f(x0)*D(f)(RootOf(-f(_Z)+f(x0)))+RootOf(-f(_Z)+f(x0))*D(f)(RootOf(-f(_Z)+f(x0)))+D(f)(x0)*f(x0)-D(f)(x0)*RootOf(-f(_Z)+f(x0))*D(f)(RootOf(-f(_Z)+f(x0)))-D(f)(x0)...
(D(f)(x0)*D(f)(RootOf(-f(_Z)+f(x0)))*x0-f(x0)*D(f)(RootOf(-f(_Z)+f(x0)))+RootOf(-f(_Z)+f(x0))*D(f)(RootOf(-f(_Z)+f(x0)))+D(f)(x0)*f(x0)-D(f)(x0)*RootOf(-f(_Z)+f(x0))*D(f)(RootOf(-f(_Z)+f(x0)))-D(f)(x0)...
(D(f)(x0)*D(f)(RootOf(-f(_Z)+f(x0)))*x0-f(x0)*D(f)(RootOf(-f(_Z)+f(x0)))+RootOf(-f(_Z)+f(x0))*D(f)(RootOf(-f(_Z)+f(x0)))+D(f)(x0)*f(x0)-D(f)(x0)*RootOf(-f(_Z)+f(x0))*D(f)(RootOf(-f(_Z)+f(x0)))-D(f)(x0)...
(D(f)(x0)*D(f)(RootOf(-f(_Z)+f(x0)))*x0-f(x0)*D(f)(RootOf(-f(_Z)+f(x0)))+RootOf(-f(_Z)+f(x0))*D(f)(RootOf(-f(_Z)+f(x0)))+D(f)(x0)*f(x0)-D(f)(x0)*RootOf(-f(_Z)+f(x0))*D(f)(RootOf(-f(_Z)+f(x0)))-D(f)(x0)...

Therefore, x_int = y_int; in other words, the point of intersection is on the line y = x .

Note again the technique of proving equality by simplifying the difference to 0.

Generalize inverse selection with RootOf

After we solved the equation y = x/(x^2+1)  for x , there were still some complicated steps involved to select the inverse.  This selection process can be simplified with RootOf at the expense of a more complicated representation of the inverse.  Often, solve  is only able to express the solutions is terms of RootOf.

>    f:= x-> x/(x^2+1);

f := proc (x) options operator, arrow; x/(x^2+1) end proc

We can specify the branch of the inverse with range [-1,1] as follows:

>    g:= unapply(RootOf(y=f(x), x, -1..1), y);

g := proc (y) options operator, arrow; RootOf(y*_Z^2+y-_Z,-1 .. 1) end proc

Since Maple knows how to take derivatives of RootOfs, we can still get the tangent line.

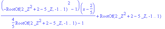
>    tangent_line(g,f(1/2));

(-RootOf(2*_Z^2+2-5*_Z,-1 .. 1)^2-1)/(4/5*RootOf(2*_Z^2+2-5*_Z,-1 .. 1)-1)*(x-2/5)+RootOf(2*_Z^2+2-5*_Z,-1 .. 1)

But the roots are not computed until you use allvalues.

>    allvalues(%);

25/12*x-1/3

Evalf also works on RootOf:

>    g(1/2);

RootOf(_Z^2+1-2*_Z,-1 .. 1)

>    evalf(%);

1.000000000

>    plot([f(x),g(x),x,tangent_line(f,1/2),allvalues(tangent_line(g,f(1/2)))]
    ,x= -1..1, y= -1..1
    ,scaling= constrained
    ,color= [red$2, grey, green$2]
    );

[Maple Plot]

>   

>