MATEMTICAS
CON MAPLE
Para Estudiantes y Profesores
MAPLE V Versin...:. 5.1
Captulo VIII - Ecuaciones Diferenciales
Documento: Maple Manual Ecuaciones Diferenciales
Captulo: VIII - Ecuaciones Diferenciales
Elabor: Csar Ivn Tinoco.
Versin: 3 de Julio del 2.000
Introducin:
En los captulos anteriores presentamos algunos comandos de Maple para resolver una eciacin diferencial, ahora vamos a adelantar un estudio ms cuidadoso de las Ecuaones Diferenciales y sus mtodos de solucion al igualque el comportamiento grfico de las soluciones.
El estudio de las Ecuaciones Diferenciales se centra en encontrar la solucin una ecuacin donde aparecen diferenciales, por tanto empezaremos presentado ecuaciones e inecuaciones algebraicas ordinarias, solucionarlas y luego presentamos las soluciones de las Ecuaciones Diferenciales por medio de los diferentes mtodos.
Resolucin de Ecuaciones Algebraicas
Solucionar una ecuacin es encontrar los valores para las incofnitas tales que satisfagan la ecuacin. En Maple usamos el comendo solve cuya escritura es la siguiente:
Orden ........: solve
Sintxis ......: solve ( ecuaciones, variables )
Propsito ...: Encuntra la solucin para el sistema de ecuaciones del argumento en terminos de las variables .
> restart: f1:=x^2-9; s:=solve({f1},x);
Lo que significa que ha encontrado los valores para la ecuacin:
Verificacin analtica:
> subs(s,f1);
Verificacin Grafica:
> with(plots): p1:=plot(f1,x=-4..4): s:=[solve(f1)]; puntos:=plot([[s[1],0],[s[2],0]],style=point,color=black): display({p1,puntos});
Warning, the name changecoords has been redefined
Tambin podemos escribir una expresin y luego solucionarla, simplificcarla, factorizarla y si es necesario evaluarla sobre un dato en particular.
> F:=Int(x^2,x); value(F); G:=Sum(i,i=1..n); value(G); simplify(%); factor(%); subs(n=100,%);
Solucionar una ecuacin es encontrar sus raices:
> solve(x^2+2*x=8); solve(3*sin(x)=3);
Podramos solucionar inecuaciones:
> restart: solve(x+5>7); solve(x^2+x>5.); solve(abs(3*x-5)=2); solve(abs(x-1)<3); solve(abs((x+2)/(x+3))<=5);
O tambin solucionar un sistema de ecuaciones.
> restart: e1:=2*x-y+2*z=5; e2:=-x+y-z=-3; e3:=x+2*y+3*z=2;
> s:={e||(1..3)}; sol:=solve(s);
Lo cual podemos verifiacr remplazando estos valores en las tres ecuaciones, es decir:
> subs(sol,s);
Ahora un sistema de ecuaciones no lineales: Por ejemplo la interseccin de una curva exponencial con una cuadrdita:
> restart; ec1:=x*y=2; ec2:=x^2+y^2=5; solve({ec1,ec2});
Veamos la grfica de estas ecuaciones y por supuesto la solucin.
> with(plots): implicitplot({ec1,ec2},x=-5..5,y=-5..5);
> f1:=x^2=2*y; f2:=3*x+2*y=0; sol:=solve({f1,f2}); implicitplot({f1,f2},x=-8..5,y=-2..8);
Algunas expresiones no tienen solucin algebraica o no tienen solucion, para esto Maple, trata de hacer una evaluacin numrica.
Orden ........: fsolve
Sintxis ......: fsolve ( ecuacion, variable, opciones )
Propsito ...: Encuentra la solucin numroca de la ecuacion del argumento en terminos de la variable. Se pueden usar algunas opciones.
> restart: f:=cos(x)=x; solve(f); sn:=fsolve(f);
> evalf(subs(x=sn,f));
La siguiente expresin es recurrente, es decir, se llama a si misma, como en el caso del factorial, y esta definida para valores iniciales.
rsolve , soluciona una ecuacin recurrente, definiendo un procedimiento. El argumento recibe condiciones iniciales para la funcin.
> restart: nada:=f(n+1)=f(n)/2+2; g:=rsolve({nada,f(0)=0},f); evalf(seq(g,n=1..8),3);
La serie de Fibonacci, se puede expresar como una funcin recurrente, observe:
> restart: fibo:=f(n+2)=f(n+1)+f(n); f:=rsolve({fibo,f(0)=0,f(1)=1},f);
Ahora calculemos algunos elementos de esta serie en terminos de valores reales.
> l:=[evalf(seq(f,n=1..10))]; seq(round(l[i]),i=1..10);
Solucin de Ecuaciones Diferenciales.
Ordinarias
S tenemos entonces podremos decir lo siguiente:
lo que su puede escribir ..:
Resolver una ecuacin diferencial, significa encontrar una ecucacin que satisfaga la ecuacin diferencial planteada.
Las Ecuaciones Diferenciales Ordinarias, son aquellas que contienen slo derivadas ordinarias respecto a una sola variable.
Una Ecuacin Diferencial, se solucionan en Maple usando la orden:
Orden ........: dsolve
Sintxis ......: dsolve(ODE)
dsolve(ODE, y(x), extra_args)
dsolve({ODE, ICs}, y(x), extra_args)
dsolve({sysODE, ICs}, {funcs}, extra_args)
Propsito ...: Encuntra la solucin para de ecuacion ordinaria ODE del argumento.
y ( x ) Funcin en una variable
ICs bajo las condiciones iniciales
sysODE para un sistema de ecuaciones
La solucin presentada por Maple es una igualdad, no una asignacin ni una funcin. Adems las constantes estarn representadas por C1, C2...Cn.
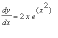
> restart: ed1:=diff(y(x),x)=2*x*exp(x^2); dsolve(ed1,y(x));
Lo que satisface la ecuacin. Tambin podemos escribir con la siguiente notacin:
> ed2:=D(y)(x)=a; dsolve(ed2); dsolve({ed2,y(0)=v},y(x));
> restart: ecua:=D(y)(x)+y(x)=sin(x); dsolve(ecua);
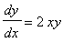
> restart: ecua:=x*D(y)(x)-2*y(x)=0; dsolve(ecua);
> restart: ecua:=D(y)(x)-x*((y(x))^(.5))=0; sol:=dsolve(ecua); convert(sol,rational);
>
> restart: ecua:=diff(y(x),x$2)-2*diff(y(x),x)+y(x)=0; sol:=dsolve(ecua); convert(sol,rational);
Veamos una solucin e interpretemosla grficamente.
> restart: ecua:=x*D(y)(x)+y(x)=1; sol:=dsolve(ecua);
> with(plots): colores:=[red,blue,magenta,black,cyan]: curvas:=seq(plot(1+i/x,x=-8..8,y=-8..8,color=colores[i]),i=1..5): display(curvas);
> restart: ecua:=x*D(y)(x)-4*y(x)=0; dsolve(ecua);
> with(plots): colores:=[red,blue,magenta,black,cyan]: curvas:=seq(plot(i*x^4,x=-2..2,y=-4..4,color=colores[abs(i)+1]),i=-4..4): display(curvas);
Recordemos que la aceleracin es la derivada de la velocidad y esta a su vez es la derivada del espacio, esto escrito en trminos de una ecuacin diferencial sera:
> restart: ecua:=diff(s(t),t$2)=-g; cond:=s(0)=0,D(s)(0)=10; sol:=dsolve({ecua,cond},s(t));
> sol1:=subs(g=-9.8,v=10,sol);
> plot(4.9*x^2+10*x,x=-6..4);
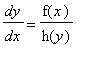
Variables Separables
Sea una funcin continua, entonce la siguiente ecuacin diferencial:
Se resuelve:
Lo que significa que hemos "separado" las variables e integrado para encontrar el valor de la funcin g .
> restart: ecua:=D(y)(x)=1+exp(2*x); sol:=op(2,dsolve(ecua));
Lo que podemos verificar, derivando e integrando.
> F:=Int(diff(sol,x),x);
> value(F);
> restart: ecua:=D(y)(x)=cos(2*x); dsolve(ecua);
> restart: ecua:=diff(f(x),x)=1/(x+f(x)+1); sol:=dsolve(ecua);
> solve(sol);
Ecuaciones Homogeneas
Una Ecuacin diferencial homogenea es de la forma:
Donde:
y adems
Las ecuaciones diferenciales homogeneas siempres se pueden presentar como de variables separables
> restart: ecua:=x*diff(f(x),x)=f(x)+x*exp(f(x)/x); sol:=dsolve({ecua,f(1)=1},f(x));