Application Center - Maplesoft

App Preview:

Analysis of Structures - Space Truss

You can switch back to the summary page by clicking here.

Learn about Maple
Download Application


Image 

Analysis of Structures - Space Truss 

? Maplesoft, a division of Waterloo Maple Inc., 2008 

Introduction 

This application is one of a collection of educational engineering examples using Maple. These applications use Clickable Engineering? methods to solve problems interactively. Steps are given at every stage of the solution, and many are illustrated using short video clips.  

Click on the Image buttons to watch the videos. 

The steps in the document can be repeated to solve similar problems. 

Problem Statement 

Consider the truss shown in Figure 1 where a 3 kN force is applied to S along a line of action parallel to the line . The truss is supported by reactions at Q, P and R. The reactive force at has three nonzero components; at two; and at , one. 

 

Using the method of joints, determine the internal forces in each member and the reactions at P, Q and R. Indicate whether the members are in tension or compression. 

Drawing-Canvas 

Figure 1 

 

Solution 

Step 

Result 

There are joints, and members.  Consequently, there are reactions. 

 

There are six internal forces, namely, , , , , , , where the are unit vectors from joint to joint .  

 

The external force at , the origin of a Cartesian coordinate system, is given by , where  

 

The reaction force at joint is  

The reaction force at joint is  

The reaction force at joint is  

 

To perform matrix computations, load the Student Linear Algebra package. 

 

Tools > Load package > Student Linear Algebra  

 

HyperlinkImage 

 

Loading Student:-LinearAlgebra  

With respect to the origin at , the joints at are located by the vectors P, R, S.  

 

Define the three position vectors P, R, S

 

To define , use the assignment operator (a colon followed by an equal sign). 

 

Use the Matrix palette. Set the number of rows to three and the number of columns to one and then press the Insert Vector[column] button. You could also use the Choose button and drag the mouse to select the matrix size. . 

 

Fill in an element, then press [Tab] to move to the next placeholder.  

 

Press [Enter] to evaluate.  

 

HyperlinkImage 

 

 

(3.1)
 

 

 

 

 

Define the unit vectors and

Use the underscore ( _ ) to move the cursor to the subscript position, and the right arrow (→) to move back to the baseline. For example, to enter , type [u][_][S][P], then press the right arrow to move out of the subscript. 

 

Obtain π  from the Greek palette.  

 

The notation for the magnitude of a vector is found in the Common Symbols palette ( ? ), or by typing two vertical bars from the keyboard. 

 

HyperlinkImage 


 


(3.2)
 

 

Since this problem is three dimensional, there will be three equilibrium equations for each joint (one for each Cartesian direction). 

 

Since there is one known force and three unknown forces acting at joint S, the force analysis of the truss will begin at this joint.  

The forces acting at S (directions of unknown member forces are assumed to be in tension) are shown to the right in Figure 2. 

 

Since the system is in equilibrium, .  

 

Drawing-Canvas 

Figure 2 

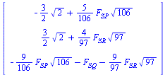
Enter the left-hand side of the equation of equilibrium for joint S

 

Press [Enter] to evaluate. 

 

Convert the vector to a set of expressions. Right-click the vector and select Conversions > To List.  

 

Right-click the resulting list select Conversions > To Set. 

 

 

HyperlinkImage 

 

 

 

(3.3)
 

 

[`+`(`-`(`*`(`/`(3, 2), `*`(`^`(2, `/`(1, 2))))), `*`(`/`(5, 106), `*`(F[SP], `*`(`^`(106, `/`(1, 2)))))), `+`(`*`(`/`(3, 2), `*`(`^`(2, `/`(1, 2)))), `*`(`/`(4, 97), `*`(F[SR], `*`(`^`(97, `/`(1, 2))...
[`+`(`-`(`*`(`/`(3, 2), `*`(`^`(2, `/`(1, 2))))), `*`(`/`(5, 106), `*`(F[SP], `*`(`^`(106, `/`(1, 2)))))), `+`(`*`(`/`(3, 2), `*`(`^`(2, `/`(1, 2)))), `*`(`/`(4, 97), `*`(F[SR], `*`(`^`(97, `/`(1, 2))...
(3.4)
 

 

{`+`(`-`(`*`(`/`(3, 2), `*`(`^`(2, `/`(1, 2))))), `*`(`/`(5, 106), `*`(F[SP], `*`(`^`(106, `/`(1, 2)))))), `+`(`*`(`/`(3, 2), `*`(`^`(2, `/`(1, 2)))), `*`(`/`(4, 97), `*`(F[SR], `*`(`^`(97, `/`(1, 2))...
{`+`(`-`(`*`(`/`(3, 2), `*`(`^`(2, `/`(1, 2))))), `*`(`/`(5, 106), `*`(F[SP], `*`(`^`(106, `/`(1, 2)))))), `+`(`*`(`/`(3, 2), `*`(`^`(2, `/`(1, 2)))), `*`(`/`(4, 97), `*`(F[SR], `*`(`^`(97, `/`(1, 2))...
(3.5)
 

 

Figure 3 shows the forces acting on P.  

 

 

Drawing-Canvas 

Figure 3 

 

 

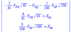
Similar to joint S, find the three equilibrium equations at P

 

Repeat the instructions from the previous step, applying them to joint P. 

 

 

(3.6)
 

 

[`+`(`-`(`*`(`/`(5, 41), `*`(F[PR], `*`(`^`(41, `/`(1, 2)))))), `-`(F[PQ]), `-`(`*`(`/`(5, 106), `*`(F[SP], `*`(`^`(106, `/`(1, 2))))))), `+`(`*`(`/`(4, 41), `*`(F[PR], `*`(`^`(41, `/`(1, 2))))), X[Py...
[`+`(`-`(`*`(`/`(5, 41), `*`(F[PR], `*`(`^`(41, `/`(1, 2)))))), `-`(F[PQ]), `-`(`*`(`/`(5, 106), `*`(F[SP], `*`(`^`(106, `/`(1, 2))))))), `+`(`*`(`/`(4, 41), `*`(F[PR], `*`(`^`(41, `/`(1, 2))))), X[Py...
(3.7)
 

 

{`+`(`*`(`/`(4, 41), `*`(F[PR], `*`(`^`(41, `/`(1, 2))))), X[Py]), `+`(`*`(`/`(9, 106), `*`(F[SP], `*`(`^`(106, `/`(1, 2))))), X[Pz]), `+`(`-`(`*`(`/`(5, 41), `*`(F[PR], `*`(`^`(41, `/`(1, 2)))))), `-...
{`+`(`*`(`/`(4, 41), `*`(F[PR], `*`(`^`(41, `/`(1, 2))))), X[Py]), `+`(`*`(`/`(9, 106), `*`(F[SP], `*`(`^`(106, `/`(1, 2))))), X[Pz]), `+`(`-`(`*`(`/`(5, 41), `*`(F[PR], `*`(`^`(41, `/`(1, 2)))))), `-...
(3.8)
 

 

Figure 4 shows the forces acting on Q

 

 

Drawing-Canvas 

Figure 4 

 

 

Similar to joint S and P, find the three equilibrium equations at Q

 

Repeat the instructions from the previous step, applying them to joint Q. 

 

 

(3.9)
 

 

[`+`(X[Qx], F[PQ]), `+`(X[Qy], F[QR]), `+`(X[Qz], F[SQ])] (3.10)
 

 

{`+`(X[Qx], F[PQ]), `+`(X[Qy], F[QR]), `+`(X[Qz], F[SQ])} (3.11)
 

 

 

Figure 5 shows the forces acting on R.  

 

 

Drawing-Canvas 

Figure 5 

 

 

 

Similar to other joints, find the three equilibrium equations at P

 

Repeat the instructions from the previous step, applying them to joint P. 

 

 

(3.12)
 

 

[`+`(`*`(`/`(5, 41), `*`(F[PR], `*`(`^`(41, `/`(1, 2)))))), `+`(`-`(F[QR]), `-`(`*`(`/`(4, 97), `*`(F[SR], `*`(`^`(97, `/`(1, 2)))))), `-`(`*`(`/`(4, 41), `*`(F[PR], `*`(`^`(41, `/`(1, 2))))))), `+`(X...
[`+`(`*`(`/`(5, 41), `*`(F[PR], `*`(`^`(41, `/`(1, 2)))))), `+`(`-`(F[QR]), `-`(`*`(`/`(4, 97), `*`(F[SR], `*`(`^`(97, `/`(1, 2)))))), `-`(`*`(`/`(4, 41), `*`(F[PR], `*`(`^`(41, `/`(1, 2))))))), `+`(X...
(3.13)
 

 

{`+`(`*`(`/`(5, 41), `*`(F[PR], `*`(`^`(41, `/`(1, 2)))))), `+`(X[Rz], `*`(`/`(9, 97), `*`(F[SR], `*`(`^`(97, `/`(1, 2)))))), `+`(`-`(F[QR]), `-`(`*`(`/`(4, 97), `*`(F[SR], `*`(`^`(97, `/`(1, 2)))))),...
{`+`(`*`(`/`(5, 41), `*`(F[PR], `*`(`^`(41, `/`(1, 2)))))), `+`(X[Rz], `*`(`/`(9, 97), `*`(F[SR], `*`(`^`(97, `/`(1, 2)))))), `+`(`-`(F[QR]), `-`(`*`(`/`(4, 97), `*`(F[SR], `*`(`^`(97, `/`(1, 2)))))),...
(3.14)
 

 

 

 

Using set unions, combine the individual sets of equations and solve them to obtain the solution to the system.  

 

If a positive value is obtained for an internal member force, that member is under tension. If a negative value is obtained for an internal member force, the assumed direction was simply false and the member is therefore under compression. 

 

Reference the two sets of equations via their equation labels. Press [Ctrl][L], then enter the appropriate reference equation number. 

 

Combine these sets of equations using the set-union symbol,, which can be obtained from the Common Symbols palette. 

 

Press [Enter] to display the resulting set. 

 

Right-click the resulting set and select Solve > Numerically Solve. 

 

HyperlinkImage 

 

{`+`(`*`(`/`(5, 41), `*`(F[PR], `*`(`^`(41, `/`(1, 2)))))), `+`(X[Qx], F[PQ]), `+`(X[Qy], F[QR]), `+`(X[Qz], F[SQ]), `+`(X[Rz], `*`(`/`(9, 97), `*`(F[SR], `*`(`^`(97, `/`(1, 2)))))), `+`(`-`(`*`(`/`(3...
{`+`(`*`(`/`(5, 41), `*`(F[PR], `*`(`^`(41, `/`(1, 2)))))), `+`(X[Qx], F[PQ]), `+`(X[Qy], F[QR]), `+`(X[Qz], F[SQ]), `+`(X[Rz], `*`(`/`(9, 97), `*`(F[SR], `*`(`^`(97, `/`(1, 2)))))), `+`(`-`(`*`(`/`(3...
{`+`(`*`(`/`(5, 41), `*`(F[PR], `*`(`^`(41, `/`(1, 2)))))), `+`(X[Qx], F[PQ]), `+`(X[Qy], F[QR]), `+`(X[Qz], F[SQ]), `+`(X[Rz], `*`(`/`(9, 97), `*`(F[SR], `*`(`^`(97, `/`(1, 2)))))), `+`(`-`(`*`(`/`(3...
{`+`(`*`(`/`(5, 41), `*`(F[PR], `*`(`^`(41, `/`(1, 2)))))), `+`(X[Qx], F[PQ]), `+`(X[Qy], F[QR]), `+`(X[Qz], F[SQ]), `+`(X[Rz], `*`(`/`(9, 97), `*`(F[SR], `*`(`^`(97, `/`(1, 2)))))), `+`(`-`(`*`(`/`(3...
{`+`(`*`(`/`(5, 41), `*`(F[PR], `*`(`^`(41, `/`(1, 2)))))), `+`(X[Qx], F[PQ]), `+`(X[Qy], F[QR]), `+`(X[Qz], F[SQ]), `+`(X[Rz], `*`(`/`(9, 97), `*`(F[SR], `*`(`^`(97, `/`(1, 2)))))), `+`(`-`(`*`(`/`(3...
{`+`(`*`(`/`(5, 41), `*`(F[PR], `*`(`^`(41, `/`(1, 2)))))), `+`(X[Qx], F[PQ]), `+`(X[Qy], F[QR]), `+`(X[Qz], F[SQ]), `+`(X[Rz], `*`(`/`(9, 97), `*`(F[SR], `*`(`^`(97, `/`(1, 2)))))), `+`(`-`(`*`(`/`(3...
(3.15)
 

 

{F[PQ] = -2.121320343, F[PR] = -0., F[QR] = 2.121320343, F[SP] = 4.368065934, F[SQ] = .954594154, F[SR] = -5.223145604, X[Py] = -0., X[Pz] = -3.818376619, X[Qx] = 2.121320343, X[Qy] = -2.121320343, X[...
{F[PQ] = -2.121320343, F[PR] = -0., F[QR] = 2.121320343, F[SP] = 4.368065934, F[SQ] = .954594154, F[SR] = -5.223145604, X[Py] = -0., X[Pz] = -3.818376619, X[Qx] = 2.121320343, X[Qy] = -2.121320343, X[...
{F[PQ] = -2.121320343, F[PR] = -0., F[QR] = 2.121320343, F[SP] = 4.368065934, F[SQ] = .954594154, F[SR] = -5.223145604, X[Py] = -0., X[Pz] = -3.818376619, X[Qx] = 2.121320343, X[Qy] = -2.121320343, X[...
{F[PQ] = -2.121320343, F[PR] = -0., F[QR] = 2.121320343, F[SP] = 4.368065934, F[SQ] = .954594154, F[SR] = -5.223145604, X[Py] = -0., X[Pz] = -3.818376619, X[Qx] = 2.121320343, X[Qy] = -2.121320343, X[...
(3.16)
 

 

 

 

Legal Notice: The copyright for this application is owned by Maplesoft. The application is intended to demonstrate the use of Maple to solve a particular problem. It has been made available for product evaluation purposes only and may not be used in any other context without the express permission of Maplesoft.   

 

Image