Application Center - Maplesoft

App Preview:

Equilibrium of a Rigid Body - 3

You can switch back to the summary page by clicking here.

Learn about Maple
Download Application


Image 

Equilibrium of a Rigid Body - 3 

? Maplesoft, a division of Waterloo Maple Inc., 2008s 

 

Introduction 

This application is one of a collection of educational engineering examples using Maple. These applications use Clickable Engineering? methods to solve problems interactively. Steps are given at every stage of the solution, and many are illustrated using short video clips.  

Click on the Image buttons to watch the videos. 

The steps in the document can be repeated to solve similar problems. 

Problem Statement 

The lifting mechanism shown in Figure 1 consists of a uniform beam pinned at point O, and positioned by a roller at point P. The distance, d, changes as the roller moves up and down the beam. 

 

a) Find the symbolic relationship for the reaction forces at O and P in terms of the distance, d, the weight of the beam, W, and the angle .  

 

b) Determine the reaction forces found in part (a) for the case where , and

 

Drawing-Canvas 

Figure 1 

Solution 

Step 

Result 

The first step in solving this problem is to draw a free body diagram of the uniform beam. Since O is a pin joint, it is expected that the reaction force from the pin will have two components. Point P is a roller and will therefore exert a force perpendicular to the beam. Since the beam is described as uniform, its center of gravity will be its geometric center, and it is through this point that all of its weight, W, will seem to act. 

 

Figure 2 shows the forces acting on the uniform beam, where and  

 

To draw diagrams in Maple, insert a Canvas into the worksheet. To do this click, Insert > Canvas. 

 

HyperlinkImage 

 

Drawing-Canvas 

Figure 2 

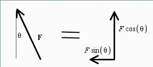
The force F can be expressed in terms of its horizontal and vertical components. Decomposing the force F as shown in Figure 3 will simplify writing the scalar equations of equilibrium. 

 

Drawing-Canvas 

Figure 3 

Since the system is in equilibrium, the sum of all horizontal and vertical forces, and sum of all moments about any fixed point must each equal zero. 

 

In math mode, enter each of the following three equations, displayed in the next three rows. 

 

Press [Enter] to evaluate each equation. 

 

Obtain θ from the Greek palette.  

 

HyperlinkImage 

Sum the horizontal components: 

 

Use the underscore ( _ ) to move the cursor to the subscript position, and the right arrow (→) to move back to the baseline. For example, to enter , type [O][_][x], then press the right arrow to move out of the subscript. 

 

 

`+`(O[x], `*`(F, `*`(sin(theta)))) = 0 (1)
 

Sum the vertical components: 

 

Repeat the instructions from the previous step for  

 

`+`(O[y], W, `*`(F, `*`(cos(theta)))) = 0 (2)
 

Sum the moments about O

 

`+`(`*`(`/`(3, 2), `*`(W, `*`(cos(theta)))), `-`(`*`(F, `*`(d)))) = 0 (3)
 

Obtain symbolic solutions for the reaction forces. 

 

Click on Tools > Tasks > Browse.  

 

Choose Algebra > Solve a Set of Equations Symbolically and click on the Insert Minimal Content button. 

 

Replace the three preset equations within the set with the equation labels 1, 2 and 3. Press [Ctrl][L], then enter the appropriate reference equation number for the equation labels 

 

In the solve command, replace the three variables with the unknowns respectively. 

 

Press [Enter] to evaluate. 

 

HyperlinkImage 


 

{`+`(O[x], `*`(F, `*`(sin(theta)))) = 0, `+`(O[y], W, `*`(F, `*`(cos(theta)))) = 0, `+`(`*`(`/`(3, 2), `*`(W, `*`(cos(theta)))), `-`(`*`(F, `*`(d)))) = 0}
{`+`(O[x], `*`(F, `*`(sin(theta)))) = 0, `+`(O[y], W, `*`(F, `*`(cos(theta)))) = 0, `+`(`*`(`/`(3, 2), `*`(W, `*`(cos(theta)))), `-`(`*`(F, `*`(d)))) = 0}
(4)
 


 

{F = `+`(`/`(`*`(`/`(3, 2), `*`(W, `*`(cos(theta)))), `*`(d))), O[x] = `+`(`-`(`/`(`*`(`/`(3, 2), `*`(W, `*`(cos(theta), `*`(sin(theta))))), `*`(d)))), O[y] = `+`(`-`(`/`(`*`(`/`(1, 2), `*`(W, `*`(`+`...
{F = `+`(`/`(`*`(`/`(3, 2), `*`(W, `*`(cos(theta)))), `*`(d))), O[x] = `+`(`-`(`/`(`*`(`/`(3, 2), `*`(W, `*`(cos(theta), `*`(sin(theta))))), `*`(d)))), O[y] = `+`(`-`(`/`(`*`(`/`(1, 2), `*`(W, `*`(`+`...
(5)
 

 

 

For part (b) of the question, find the reaction forces for the specific case of , and

 

Use the template from the Expression palette to evaluate the expression at a point. 

 

Delete, and use an equation label to reference the list of symbolic solutions in place of it. Press [Tab] to move to the next field and replace with . 

 

Press [Enter] to obtain the solution to the specific system. 

 

HyperlinkImage  

 

{O[y] = -300, O[x] = -100, F = `+`(`*`(100, `*`(`^`(2, `/`(1, 2)))))} (6)
 

 

 

Legal Notice: The copyright for this application is owned by Maplesoft. The application is intended to demonstrate the use of Maple to solve a particular problem. It has been made available for product evaluation purposes only and may not be used in any other context without the express permission of Maplesoft.   

 

Image