Application Center - Maplesoft

App Preview:

Calculus II: Lesson 7a: Applications of Integration 6: Centroids

You can switch back to the summary page by clicking here.

Learn about Maple
Download Application


 

L7a-centroids.mws

Calculus II

Lesson 7a:  Centroids

First moments, centroids Papus' theorem.

       If we restrict the concept of center of gravity or center of mass to a closed plane curve we obtain the idea of  "centroid".  The centroid is that point on which a thin sheet matching the closed curve could be balanced. It is the "center of mass". Consider the portion of the parabola described by: y = 5*x^2-20*x , which lies above the x axis.  Since we are dealing with a plane surface the density is constant and need not concern us.  In addition, the centroid is a geometrically defined point  whose location is coordinate independent.

[Maple Metafile]

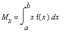
      Divide the area into strips of width Delta*x   and measure the distance from the center of the strip, x[i]  , to the y axis.  If we approximate the area of each strip as f(x[i])*Delta*x , then the first moment   is defined as Sum(x[i]*f(x[i])*Delta*x,i = 1 .. n)  , where n is the number of strips.

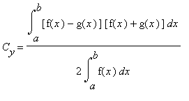
       In the limit as Delta*x ->0, this becomes Int(x*f(x),x = a .. b) . The first moment about the y axis is therefore M[x] = Int(x*f(x),x = a .. b)  Therefore, the x coordinate of the centroid is found to be Int(x*f(x),x = a .. b)/Int(f(x),x = a .. b) .  To find the y coordinate of the centroid, observe that for an infinitesimally wide strip the centroid will lie one half the distance between the top and bottom of the strip.  Therefore,   C[y] = (1/(2*Int(f(x),x = a .. b))*Int(f(x)*f(x),x = a .. b) = 1/(2*Int(f(x),x = a .. b))*Int(f(x)^2,x = a .. b))

Ex. 1

   Locate the centroid of the plane area enclosed between the curve    y = x^2+3*x , and between the y axis and the line x=3.

>    restart:with(plots):

Warning, the name changecoords has been redefined

>    f:=x->-x^2+3*x;

f := proc (x) options operator, arrow; -x^2+3*x end proc

>    A:=int(f(x),x=0..3);

A := 9/2

>    C[x]:=int(x*f(x),x=0..3)/A;

C[x] := 3/2

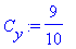
>    C[y]:=int(f(x)^2,x=0..3)/(2*A);

C[y] := 9/10

>    p1:=plot(f(x),x=0..3):

>    p2:=pointplot([[C[x],C[y]]],symbol=circle):

>    display(p1,p2);

[Maple Plot]

 The centroid lies on the line of symmetry of the surface area as could be anticipated.  Now we add a slight complication.

Ex. 2

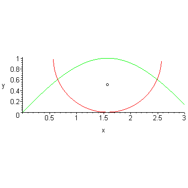
We plot sin(x) and a circle centered at ( Pi/2, 1 )  with radius 1 and locate the centroid of the resulting figure.

>    restart: with(plots):

Warning, the name changecoords has been redefined

>    f:=x->sin(x);

f := sin

>    Eq1:=(x-Pi/2)^2+(y-1)^2=1;

Eq1 := (x-1/2*Pi)^2+(y-1)^2 = 1

>    Y:=solve(Eq1,y);

Y := 1+1/2*(4-4*x^2+4*x*Pi-Pi^2)^(1/2), 1-1/2*(4-4*x^2+4*x*Pi-Pi^2)^(1/2)

>    g:=unapply(Y[2],x);

g := proc (x) options operator, arrow; 1-1/2*(4-4*x^2+4*x*Pi-Pi^2)^(1/2) end proc

>    plot({f(x),g(x)},x=0..3,scaling=constrained);

[Maple Plot]

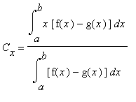
Now we will find the centroid of the area enclosed by the two plots.  First we note that the area we are interested in is described by   f(x)-g(x).  The center of each strip is   (f(x)+g(x))/2  above the x axis.  The length of each strip is  f(x)-g(x) .

The formulas for the centroid therefore require modification to:

C[x] = Int(x*[f(x)-g(x)],x = a .. b)/Int([f(x)-g(x)],x = a .. b)        C[y] = Int([f(x)-g(x)]*[f(x)+g(x)],x = a .. b)/(2*Int(f(x),x = a .. b))  = Int([f(x)^2-g(x)^2],x = a .. b)/(2*Int(f(x),x = a .. b))

First we find the limits of integration by finding the points of intersection of the two curves.

>    x1:=fsolve(f(x)=g(x),x=0..1);

x1 := .6515172684

>    x2:= fsolve(f(x)=g(x),x=2..3);

x2 := 2.490075385

>    A:=int(f(x)-g(x),x=x1..x2);

A := 1.279850245

>    C[x]:=int(x*(f(x)-g(x)),x=x1..x2)/A;

C[x] := 1.570796326

>    C[y]:=int((f(x)^2-g(x)^2),x=x1..x2)/(2*A);

C[y] := .5072505805

>    p1:=plot({f(x),g(x)},x=0..3,scaling=constrained, labels=[x,y]):

>    p2:=pointplot([[C[x],C[y]]],symbol=circle):

>    display(p1,p2);

[Maple Plot]

This certainly looks about right.

Pappus' Theorem

        Given a closed curve with area   A,  perimeter P and centroid  { C[x], C[y] }, and a line external to the closed curve whose distance from the centroid is d  , we rotate the plane curve around the line obtaining a solid of revolution. The volume of the solid is V = 2*Pi*d*A  , and the surface area is S = 2*Pi*d*P .

Ex. 3

Given the ellipse: (x-5)^2/9+(y-7)^2/4 = 1  .  Find the surface area of the solid of revolution about the x axis. We rotate the ellipse around the x axis.  

>    restart: with(plots):

Warning, the name changecoords has been redefined

>    Eq1:=(x-5)^2/9+(y-7)^2/4=1;

Eq1 := 1/9*(x-5)^2+1/4*(y-7)^2 = 1

>    E:=solve(Eq1,y);

E := 7+2/3*(-16-x^2+10*x)^(1/2), 7-2/3*(-16-x^2+10*x)^(1/2)

plot3d

>    plot3d({[x,E[1]*cos(theta),E[1]*sin(theta)],[x,E[2]*cos(theta),E[2]*sin(theta)]} ,x=2..8,theta=0..2*Pi,scaling=constrained,axes=boxed,color=theta);

[Maple Plot]

          Since, by symmetry, we know that the centroid of the ellipse is at (5,7) and the area of an ellipse is   Pi (semi-major axis) x (semi-minor axis),  we immediately have, for the volume of the resulting solid;

>    Volume:=2*Pi*7*Pi*3*2;

Volume := 84*Pi^2

Ex. 4

Given the parabolic arc y = 3*x^2+4*x+5 ,  and the line y=10.  We wish to know the volume of the solid of revolution obtained by rotating this area around a line parallel to the x axis and 5 units from the lowest point on the arc.  For this problem we only need the y coordinate of the centroid.

>    f:=x->3*x^2+4*x+5;

f := proc (x) options operator, arrow; 3*x^2+4*x+5 end proc

>    plot({f(x),10},x=-4..2);

[Maple Plot]

        First we need to know the limits of integration.

>    x1:=fsolve(f(x)=10,x=-3..-2); x2:=fsolve(f(x)=10,x=0..1);

x1 := -2.119632981

x2 := .7862996478

 

Now compute the y coordinate of the centroid.

>    A:=int((10-f(x)),x=x1..x2);

A := 12.26949332

>    c:=int((10^2-f(x)^2)/2,x=x1..x2)/A;

c := 7.466666668

Now we need the distance of the centroid from the lowest point on the curve, which occurs at    -4/6 .

>    h:=c-f(-4.0/6);

h := 3.800000001

The required volume is:

>    Volume:=evalf(2*Pi*(5+h)*A);

Volume := 678.4052013

This is what this solid looks like.

>    plot3d({[x,f(x)*cos(theta),f(x)*sin(theta)],[x,10*cos(theta),10*sin(theta)]},x=x1..x2, theta=0..2*Pi,view=[-2..2,-10..10,-10..10],style=wireframe,color=theta/10,axes=normal);

[Maple Plot]

>   

>   

Practice

1.  Find the centroid of each of the following figures.

       a.  The triangle formed by the x axis, the y axis and the line y = 4-2*x  

       b.  The area enclosed by the x axis, the y axis and the curve y = x^2-4*x+4

       c.  The area enclose by the curves: y = x^3-2*x+3  and y = x^2+3

2.  An equilateral triangle, 2 units on each side, is rotated around a line parallel to,  and 2 units from,  one side.  Find the surface area and the volume of  the resulting solid.