Application Center - Maplesoft

App Preview:

Calculus II: Lesson 4: Applications of Integration 2: Average Value of a Function

You can switch back to the summary page by clicking here.

Learn about Maple
Download Application


 

L4-integrationAppsAvgValue.mws

Calculus II

Lesson 4: Applications of Integration 2: Average Value of a Function

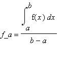
Let's examine why we should define the average value of a function f over the interval [a, b] to be f_a = int(f(x),x = a .. b)/(b-a)

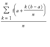
We could start by partitioning the interval [a, b] into n equal sub-intervals. Since f should be approximately constant on each sub-interval (at least if n is large), we could approximate the average value of f by computing the average value of the function g we get by replacing f on each subinterval by its value at the right-hand endpoint of the sub-interval. This is illustrated below, taking f to be the function cos(x) on [0, Pi/2] , with 6 sub-intervals. (The graph of the function g consists of the 6 line segments that make up the tops of the rectangles in the figure.)

> student[rightbox](cos(x), x=0..Pi/2,6);

[Maple Plot]

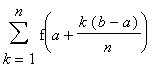
The average value of g should just be the mean of the n values taken by g . ( n = 6 in the example above.) This mean is sum(f(a+k*(b-a)/n),k = 1 .. n)/n = 1/(b-a) sum(f(a+k*(b-a)/n),k = 1 .. n) (b-a)/n . Apart from the first factor of 1/(b-a) , we recognise this as a Riemann sum for f ; as proc (n) options operator, arrow; infinity end proc... , our approximation should therefore converge to 1/(b-a) int(f(x),x = a .. b) , so it seems reasonable to define the (exact) average value of f to be this last expression.

Example

If a freely falling body starts from rest, then its displacement is given by s = gt^2/2 . Fix a time T , and let the velocity after time T be V.

(a). Show that the average velocity, with respect to t , over the interval [0, T] , is V/2 .

Solution. First, notice that we are asked to find the average value of velocity , v = gt . Since V is the velocity at time T ,

V = gT . The average velocity, with respect to time, over the interval [0, T] , is

> restart;

> (1/(T - 0))*int(g*t, t=0..T);

1/2*T*g

and this is indeed V/2 .

(b). Define S = g*T^2/2 , the displacement at time T . Write the velocity as a function of displacement, s , and show that the average velocity, with respect to s, over the interval [0, S] , is 2*V/3 .

Solution. In part (a), all quantities were written as functions of t . Now we have to write everything in terms of s , through the relation s = gt^2/2 . Solving for t , we get t = sqrt(2*s/g) , so (for example) v = gt = sqrt(2*g*s) . Now let's compute the average of v , considered as a function of s , over the interval [0, S] :

> S := g*T^2/2;

S := 1/2*g*T^2

> w := (1/(S - 0))*int(sqrt(2*g*s), s=0..S);

w := 2/3*sqrt(g^2*T^2)

> assume(g>0); assume(T>0);

> simplify(w);

2/3*g*T