Calculus I
Lesson 10: Max and Min Problems 3
In each of the following problems, we first get a numerical solution and then a precise solution.
Example 1 A steel pipe is being carried down a hallway 9 feet wide. At the end of the hall there is
a right-angled turn into a narrower hallway 6 feet wide. What is the length of the longest pipe
that can be carried horizontally around the corner? See figure below.
> with(plots): with(plottools): L1 := line([0,0],[18,0]): L2 := line([0,9],[12,9]): L3 := line([12,9],[12,15]): L4 := line([18,0],[18,15]): bar := rectangle([5,6], [15,7], color=blue): display([L1,L2,L3,L4, bar], axes=none);
We solve this problem by locating a minimum!
Let A and B denote the ends of the pipe.
Let L denote the length of the pipe, i.e. length of the segment from A to B
and passing touching the corner.
Let (theta) be the angle shown.
As goes to 0 or to /2, we have that L goes to .
There will be an angle that makes L a minimum. A pipe of this length will
just fit around the corner. This will be the length of the longest pipe that can
fit. In the equations below, x =
> L:= x -> 9 * csc(x) + 6 * sec(x);
First we do some plotting to see what the graph of L looks like.
Remember that csc(x) and sec(x) are not defined for all x. From the
figure we see that is between 0 and .
> plot(L(x), x = 0.1..Pi/2-0.1, color = black);
We first locate numerically the minimum shown above.
> fsolve(D(L)(x) = 0, x = 0..3);
> D(D(L))(.8527708776);
> L(.8527708776);
Numerically we have a critical point at x = .
Since the second derivative at the critical point is positive we have a minimum
when x = . Numerically the minimum is .
Hence the longest pipe that can fit around the corner is approximately
feet. Can we get a precise solution; not simply a
numerical estimate?
> D(L);
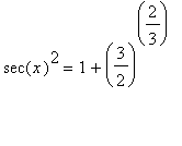
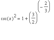
From the above we see that L' = 0 when
6 sec(x) tan(x) = 9 csc(x) cot(x) OR = .
Thus the critical point is the unique value of x in ( ) where
Using the above diagram and we have:
and .
> evalf( 9 * sqrt(1 + (3/2)^ (-2/3)) + 6 * sqrt(1 + (3/2) ^(2/3)) );
We see we have the same estimate for the longest length of the pipe.
We need to check that we have a minimum for the function L.
From the first derivative we see that L'(x) > 0 iff
and L'(x) < 0 iff .
Let c be the unique point in ( ) where .
From the numerical estimates above we know that c is about
Recall graph of tan(x).
> aa:= plot(tan(x), x = 0 .. Pi/2 - .1, color = black):
> bb:= plot([t,(3/2)^(1/3), t = 0..Pi/2 - .1], color = magenta):
> cc:= textplot([1.1,6,`tan(x)`], color = red):
> dd:= textplot([.5,2.5,`y = (3/2)^(1/3)`], color = red):
> display({aa,bb,cc,dd});
From the above plot we see that L'(x) < 0 for x < c and L'(x) > 0 for x > c;
hence L has a minimum when x = c.
Example 2
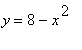
Find the dimensions of the rectangle of largest area that has its base on the x-axis and
its other two vertices above the x-axis and lying on the parabola . See figure.
> f := x->8-x^2;
> a := -2: b := 2: c := -1: d := 1: rec1 := rectangle([a, 0],[b, f(b)], color=pink, thickness=2): rec2 := rectangle([c, 0],[d, f(d)], color=yellow): graph := plot(f(x), x=-4..4, thickness=3): display(rec1, rec2, graph);
Let AA denote the area of the rectangle. Then .
> AA:= x -> 2 * x * ( 8 - x^2);
> D(AA);
> solve( 16 - 6 * x^2= 0,x);
> evalf(%);
> D(D(AA))(1.632993162);
Numerically AA has a critical point when x = ; since AA''( ) < 0,
we know that AA is a max when x = . Since we have
y = 8-( )^2 . Thus xy is numerically
> evalf(8 - (1.632993162)^2);
Precisely, AA has a maximum when and .