Application Center - Maplesoft

App Preview:

Calculus I: Lesson 2: Continuity and Limits at Infinity I

You can switch back to the summary page by clicking here.

Learn about Maple
Download Application


 

L2-continuity1.mws

Calculus I

Lesson 2: Continuity and Limits at Infinity I

Example 1
For the following function, find the value of
a that makes the function continuous.

Plot the continuous function. Then take different values of the variable a and

plot the associated discontinuous functions.

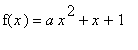
f(x) = a*x for x <= 2 and f(x) = a*x^2+x+1 for x > 2

> restart:

Define the two pieces

> f1 := x->a*x; f2 := x->a*x^2+x+1;

f1 := proc (x) options operator, arrow; a*x end pro...

f2 := proc (x) options operator, arrow; a*x^2+x+1 e...

Substitute the break point x=2 into both functions, set them equal, and then solve for a:

> a := solve(f1(2)=f2(2), a);

a := -3/2

> f1(x); f2(x);

-3/2*x

-3/2*x^2+x+1

Plot the function.

> f:= x -> piecewise( x <= 2, f1(x), f2(x));

f := proc (x) options operator, arrow; piecewise(x ...

> plot(f(x), x = -5..5);

[Maple Plot]

What if we'd gotten a wrong? Suppose we thought a = -4.

> a := -4;

a := -4

> f1(x); f2(x);

-4*x

-4*x^2+x+1

Plot the (discontinuous) function.

> f:= x -> piecewise( x <= 2, f1(x), f2(x));

f := proc (x) options operator, arrow; piecewise(x ...

> plot(f(x), x = -5..5, discont=true);

[Maple Plot]

Example 2

Plot the graph of the following function.

Where is the function discontinuous?

q(t) = 0 for t < -4

= 4*t+16 for -4 <= t <= -2

= 2*t^2 for -2 < t <= 1

= 5*sqrt(t+3)-8 for 1 < t <= 6

= 7 for t > 6

> c:= x -> piecewise( x < -4, 0, -4 <= x and x <= -2, 4*x + 16, -2 < x and x <= 1, 2*x^2, 1 < x and x <= 6, 5 * sqrt(x + 3) - 8, 7);

c := proc (x) options operator, arrow; piecewise(x ...

> plot(c(x),x= -5..7, discont=true, color=magenta);

[Maple Plot]

answer: Function is continuous everywhere; no discontinuity.

Example 3
For each of the following functions:

(i) Plot each function for large vlaues of x.

(ii) Use the plot to conjecture the limitof the function as x goes to infinity

(iii) Determine precisely the limit of the function as x goes to infinity .

a) e(t) = (1+t)*sin(t)/t

b) f(x) = sin(t)/sqrt(t)

c) g(x) = (2*x^3+7*x)/(x^2)

> e:= ( ( 1+x)/x )* sin(x);

e := (1+x)*sin(x)/x

> plot(e(x), x = 100..200);

[Maple Plot]

> limit((( 1+x)/x)* sin(x), x = infinity);

-1 .. 1

limit of e(x) as x goes to infinity DNE, since the function oscillates between 1 and -1.

> f:= ( 1/(sqrt(x)) * sin(x));

f := sin(x)/(sqrt(x))

> plot(f(x), x = 1000..2000, numpoints=1000);

[Maple Plot]

> limit(( 1/(sqrt(x)) * sin(x)), x = infinity);

0

> g:= (2*x^3 + 7*x)/(x^2);

g := (2*x^3+7*x)/(x^2)

> plot(g(x), x= 1000..2000);

[Maple Plot]

> limit((2*x^3 + 7*x)/(x^2), x = infinity);

infinity

Example 4
A hot piece of steel which is 94 degrees C is placed in a room that is kept at a constant temperature

of 20 degrees C. The steel begins to cool, and has its temperature t minutes after being placed in

the room given by: T(t) = 20+74*exp(ln(.4)*t/40) .

a) Graph T(t)

b) How long till the steel reaches 22 degrees?

c) How long till the steel reaches 21 degrees?

d) What will be the ultimate temp of the steel?

> T:= 20 + 74 * exp( ln(.4)*x/40 );

T := 20+74*exp(-.2290726830e-1*x)

> plot(T(x), x =0..200 );

[Maple Plot]

> limit(20 + 74 * exp( ln(.4)*x)/40 ), x = infinity);

20.

> eq:= 20 + 74 * exp(( (ln(.4)*x)/40 ) )= 22;

eq := 20+74*exp(-.2290726830e-1*x) = 22

> solve(eq,x);

157.6319736

> eq:= 20 + 74 * exp(( (ln(.4)*x)/40 ) )= 21;

eq := 20+74*exp(-.2290726830e-1*x) = 21

> solve(eq);

187.8908055

It takes approximately 157 minutes to reach 22 F and 187 minutes to reach 21F. The limiting

temp is 20F.

Example 5
Use Maple's limit command to find each of the following limits.

a) Limit((3^x-1)/x,x = 0)

b) Limit((2-2^x)/(4^x-4),x = 1)

c) Limit((1-cos(x))/(x^2),x = 0)

d) Limit((x-sin(x))/(x^3),x = 0)

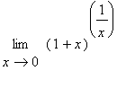
e) Limit((1+x)^(1/x),x = 0)

> limit( (3 ^x -1)/x, x = 0);

ln(3)

> limit( ( 2 - 2^x)/(4^x - 4), x = 1);

-1/4

> limit((1 - cos(x))/(x^2),x = 0);

1/2

> limit( (x - sin(x))/(x^3), x = 0);

1/6

> limit( ( 1 + x)^(1/x), x = 0);

exp(1)

Example 6
Plot each of the following:

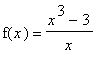
a) f(x) = (x^3-3)/x

b) f(x) = (1+2*x-x^4)/(x^2)

In each case, plot the asymptotic curves on the same axes with different color.

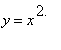
> plot( [(x^3 - 3)/x, x^2], x= 1..10, color=[green,magenta]);

[Maple Plot]

Asymptotic curve is y = x^2.

> plot([ (1 + 2*x - x^4)/(x^2), -x^2], x = 1..10, color=[green, magenta]);

[Maple Plot]

Example 7

f(x) = x -3 for x > 0

= 5 for x = 0

= x^2+4*x-1 for x < 0

Plot f(f(x)) and find limit f(f(x)) as x goes to 0 with ` limit ' command.

> z:= x -> piecewise( x > 0, x-3, x = 0, 5, x^2 + 4*x - 1);

z := proc (x) options operator, arrow; piecewise(0 ...

> plot(z(x), x = -5..5, discont=true, color=brown);

[Maple Plot]

> plot(z(z(x)), x = -5..5, discont=true, color=brown);

[Maple Plot]

> limit(z(z(x)), x = 0);

-4

Example 8
Find all asymptotes for
f(x) = (3*x^3-4*x^2-2*x+5)*(x^2-1) . Graph f(x) and

all asymptotes on the same axes with different color.

> plot([(3*x^3 - 4*x^2 - 2*x + 5)/(x^2 - 1), 3*x - 4], x = -4..4, color=[red, green], thickness=2);

[Maple Plot]

> plot([(3*x^3 - 4*x^2 - 2*x + 5)/(x^2 - 1), 3*x - 4], x = 1.5..10, color=[red, green], thickness=2);

[Maple Plot]