Application Center - Maplesoft

App Preview:

ODEs, PDE solutions: when are they "general"?

You can switch back to the summary page by clicking here.

Learn about Maple
Download Application




Hi,
The last updated to the differential equations Maple libraries (this week, can be downloaded from the Maplesoft R&D webpage for Differential Equations and Mathematical functions) includes new functionality in pdsolve, regarding whether the solution for a PDE or PDE system is or not a general solution.

In brief, a general solution of a PDE in 1 unknown, that has differential order N, and where the unknown depends on M independent variables, involves N arbitrary functions of M-1 arguments. It is not entirely evident how to extend this definition in the case of a coupled, possibly nonlinear PDE system. However, using differential algebra techniques (automatically used by pdsolve when tackling a PDE system), that extension to define a general solution for a DE system is possible, and also when the system involves ODEs and PDEs, and/or algebraic (that is, non-differential) equations, and/or inequations of the form algebraic*expression <> 0 involving the unknowns, and all of this in the presence of mathematical functions (based on the use of Maple's PDEtools:-dpolyform). This is a very nice case were many different advanced developments come together to naturally solve a problem that otherwise would be rather difficult.

The issues at the center of this Maple development/post are then:

        a) How do you know whether a solution returned is a general solution?

        b) How could you indicate to pdsolve that you are only interested in a general solution?

The answer to a) is now always present in the last line of the userinfo. So input infolevel[pdsolve] := 3 before calling pdsolve, and check what the last line of the userinfo displayed tells.


The answer to b) is a new option, generalsolution, implemented in pdsolve so that it either returns a general solution or otherwise it returns NULL. If you do not use this new option, then pdsolve works as always: first it tries to compute a general solution and if it fails in doing that it tries to compute a particular solution by separating the variables in different ways, or computing a traveling wave solution or etc. (a number of other well known methods).

 

The examples that follow are from the help page pdsolve,system, and show both the new userinfo telling whether the solution returned is a general one and the option generalsolution at work.The examples are all of differential equation systems but the same userinfos and generalsolution option work as well in the case of a single PDE.

 

Example 1.

Solve the determining PDE system for the infinitesimals of the symmetry generator of example 11 from Kamke's book . Tell whether the solution computed is or not a general solution.

infolevel[pdsolve] := 3

3

(1.1)

The PDE system satisfied by the symmetries of Kamke's ODE example number 11 is

sys__1 := [diff(xi(x, y), y, y) = 0, diff(eta(x, y), y, y)-2*(diff(xi(x, y), y, x)) = 0, 3*x^r*y^n*(diff(xi(x, y), y))*a+2*(diff(eta(x, y), y, x))-(diff(xi(x, y), x, x)) = 0, 2*(diff(xi(x, y), x))*x^r*y^n*a-x^r*y^n*(diff(eta(x, y), y))*a+eta(x, y)*a*x^r*y^n*n/y+xi(x, y)*a*x^r*r*y^n/x+diff(eta(x, y), x, x) = 0]

This is a second order linear PDE system, with two unknowns {eta(x, y), xi(x, y)} and four equations. Its general solution is given by the following, where we now can tell that the solution is a general one by reading the last line of the userinfo. Note that because the system is overdetermined, a general solution in this case does not involve any arbitrary function

sol__1 := pdsolve(sys__1)

-> Solving ordering for the dependent variables of the PDE system: [xi(x,y), eta(x,y)]

-> Solving ordering for the independent variables (can be changed using the ivars option): [x, y]
tackling triangularized subsystem with respect to xi(x,y)
First set of solution methods (general or quasi general solution)
Trying simple case of a single derivative.
First set of solution methods successful
tackling triangularized subsystem with respect to eta(x,y)
<- Returning a *general* solution

{eta(x, y) = -_C1*y*(r+2)/(n-1), xi(x, y) = _C1*x}

(1.2)

Next we indicate to pdsolve that n and r are parameters of the problem, and that we want a solution for n <> 1, making more difficult to identify by eye whether the solution returned is or not a general one. Again the last line of the userinfo tells that pdsolve's solution is indeed a general one

`sys__1.1` := [op(sys__1), n <> 1]

[diff(diff(xi(x, y), y), y) = 0, diff(diff(eta(x, y), y), y)-2*(diff(diff(xi(x, y), x), y)) = 0, 3*x^r*y^n*(diff(xi(x, y), y))*a+2*(diff(diff(eta(x, y), x), y))-(diff(diff(xi(x, y), x), x)) = 0, 2*(diff(xi(x, y), x))*x^r*y^n*a-x^r*y^n*(diff(eta(x, y), y))*a+eta(x, y)*a*x^r*y^n*n/y+xi(x, y)*a*x^r*r*y^n/x+diff(diff(eta(x, y), x), x) = 0, n <> 1]

(1.3)

`sol__1.1` := pdsolve(`sys__1.1`, parameters = {n, r})

-> Solving ordering for the dependent variables of the PDE system: [r, n, xi(x,y), eta(x,y)]

-> Solving ordering for the independent variables (can be changed using the ivars option): [x, y]
tackling triangularized subsystem with respect to r
tackling triangularized subsystem with respect to n
tackling triangularized subsystem with respect to xi(x,y)
First set of solution methods (general or quasi general solution)
Trying simple case of a single derivative.
First set of solution methods successful
tackling triangularized subsystem with respect to eta(x,y)
tackling triangularized subsystem with respect to r
tackling triangularized subsystem with respect to n
tackling triangularized subsystem with respect to xi(x,y)
First set of solution methods (general or quasi general solution)
Trying simple case of a single derivative.
First set of solution methods successful
tackling triangularized subsystem with respect to eta(x,y)
tackling triangularized subsystem with respect to r
tackling triangularized subsystem with respect to n
tackling triangularized subsystem with respect to xi(x,y)
First set of solution methods (general or quasi general solution)
Trying simple case of a single derivative.
First set of solution methods successful
tackling triangularized subsystem with respect to eta(x,y)
tackling triangularized subsystem with respect to n
tackling triangularized subsystem with respect to xi(x,y)
First set of solution methods (general or quasi general solution)
Trying simple case of a single derivative.
First set of solution methods successful
tackling triangularized subsystem with respect to eta(x,y)
tackling triangularized subsystem with respect to n
tackling triangularized subsystem with respect to xi(x,y)
First set of solution methods (general or quasi general solution)
Trying simple case of a single derivative.
First set of solution methods successful
tackling triangularized subsystem with respect to eta(x,y)
tackling triangularized subsystem with respect to xi(x,y)
First set of solution methods (general or quasi general solution)
Trying simple case of a single derivative.
First set of solution methods successful
tackling triangularized subsystem with respect to eta(x,y)
<- Returning a *general* solution

{n = 2, r = -5, eta(x, y) = y*(_C1*x+3*_C2), xi(x, y) = x*(_C1*x+_C2)}, {n = 2, r = -20/7, eta(x, y) = -(2/343)*(-6*_C1*x^2-98*x^(8/7)*_C1*a*y-147*_C2*a*x*y)/(x*a), xi(x, y) = _C1*x^(8/7)+_C2*x}, {n = 2, r = -15/7, eta(x, y) = -(1/343)*(-49*_C2*a*x*y-147*x^(6/7)*_C1*a*y+12*_C1*x)/(x*a), xi(x, y) = _C1*x^(6/7)+_C2*x}, {n = 2, r = r, eta(x, y) = -_C1*y*(r+2), xi(x, y) = _C1*x}, {n = -r-3, r = r, eta(x, y) = ((_C1*x+_C2)*r+4*_C1*x+2*_C2)*y/(r+4), xi(x, y) = x*(_C1*x+_C2)}, {n = n, r = r, eta(x, y) = -_C1*y*(r+2)/(n-1), xi(x, y) = _C1*x}

(1.4)

map(pdetest, [`sol__1.1`], `sys__1.1`)

[[0, 0, 0, 0], [0, 0, 0, 0], [0, 0, 0, 0], [0, 0, 0, 0], [0, 0, 0, 0], [0, 0, 0, 0]]

(1.5)

 

Example 2.

Compute the solution of the following (linear) overdetermined system involving two PDEs, three unknown functions, one of which depends on 2 variables and the other two depend on only 1 variable.

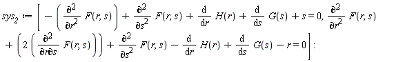
sys__2 := [-(diff(F(r, s), r, r))+diff(F(r, s), s, s)+diff(H(r), r)+diff(G(s), s)+s = 0, diff(F(r, s), r, r)+2*(diff(F(r, s), r, s))+diff(F(r, s), s, s)-(diff(H(r), r))+diff(G(s), s)-r = 0]

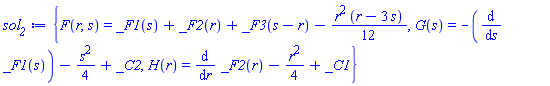
The solution for the unknowns G, H, is given by the following expression, were again determining whether this solution, that depends on 3 arbitrary functions, _F1(s), _F2(r), _F3(s-r), is or not a general solution, is non-obvious.

sol__2 := pdsolve(sys__2)

-> Solving ordering for the dependent variables of the PDE system: [F(r,s), H(r), G(s)]

-> Solving ordering for the independent variables (can be changed using the ivars option): [r, s]
tackling triangularized subsystem with respect to F(r,s)
First set of solution methods (general or quasi general solution)
Trying differential factorization for linear PDEs ...
differential factorization successful.
First set of solution methods successful
tackling triangularized subsystem with respect to H(r)
tackling triangularized subsystem with respect to G(s)
<- Returning a *general* solution

{F(r, s) = _F1(s)+_F2(r)+_F3(s-r)-(1/12)*r^2*(r-3*s), G(s) = -(diff(_F1(s), s))-(1/4)*s^2+_C2, H(r) = diff(_F2(r), r)-(1/4)*r^2+_C1}

(1.6)

pdetest(sol__2, sys__2)

[0, 0]

(1.7)

Example 3.

Compute the solution of the following nonlinear system, consisting of Burger's equation and a possible potential.

sys__3 := [diff(u(x, t), t)+2*u(x, t)*(diff(u(x, t), x))-(diff(u(x, t), x, x)) = 0, diff(v(x, t), t) = -v(x, t)*(diff(u(x, t), x))+v(x, t)*u(x, t)^2, diff(v(x, t), x) = -u(x, t)*v(x, t)]

We see that in this case the solution returned is not a general solution but two particular ones; again the information is in the last line of the userinfo displayed

sol__3 := pdsolve(sys__3, [u, v])

-> Solving ordering for the dependent variables of the PDE system: [v(x,t), u(x,t)]

-> Solving ordering for the independent variables (can be changed using the ivars option): [x, t]
tackling triangularized subsystem with respect to v(x,t)
tackling triangularized subsystem with respect to u(x,t)
First set of solution methods (general or quasi general solution)
Second set of solution methods (complete solutions)
Trying methods for second order PDEs
Third set of solution methods (simple HINTs for separating variables)
PDE linear in highest derivatives - trying a separation of variables by *
HINT = *
Fourth set of solution methods
Trying methods for second order linear PDEs
Preparing a solution HINT ...
Trying HINT = _F1(x)*_F2(t)
Fourth set of solution methods
Preparing a solution HINT ...
Trying HINT = _F1(x)+_F2(t)
Trying travelling wave solutions as power series in tanh ...
* Using tau = tanh(t*C[2]+x*C[1]+C[0])
* Equivalent ODE system: {C[1]^2*(tau^2-1)^2*diff(diff(u(tau),tau),tau)+(2*C[1]^2*(tau^2-1)*tau+2*u(tau)*C[1]*(tau^2-1)+C[2]*(tau^2-1))*diff(u(tau),tau)}
* Ordering for functions: [u(tau)]
* Cases for the upper bounds: [[n[1] = 1]]
* Power series solution [1]: {u(tau) = tau*A[1,1]+A[1,0]}
* Solution [1] for {A[i, j], C[k]}: [[A[1,1] = 0], [A[1,0] = -1/2*C[2]/C[1], A[1,1] = -C[1]]]
travelling wave solutions successful.
tackling triangularized subsystem with respect to v(x,t)
First set of solution methods (general or quasi general solution)
Trying differential factorization for linear PDEs ...
Trying methods for PDEs "missing the dependent variable" ...
Second set of solution methods (complete solutions)
Trying methods for second order PDEs
Third set of solution methods (simple HINTs for separating variables)
PDE linear in highest derivatives - trying a separation of variables by *
HINT = *
Fourth set of solution methods
Trying methods for second order linear PDEs
Preparing a solution HINT ...
Trying HINT = _F1(x)*_F2(t)
Third set of solution methods successful
tackling triangularized subsystem with respect to u(x,t)
<- Returning a solution that *is not the most general one*

{u(x, t) = -_C2*tanh(_C2*x+_C3*t+_C1)-(1/2)*_C3/_C2, v(x, t) = 0}, {u(x, t) = -_c[1]^(1/2)*((exp(_c[1]^(1/2)*x))^2*_C1-_C2)/((exp(_c[1]^(1/2)*x))^2*_C1+_C2), v(x, t) = _C3*exp(_c[1]*t)*_C1*exp(_c[1]^(1/2)*x)+_C3*exp(_c[1]*t)*_C2/exp(_c[1]^(1/2)*x)}

(1.8)

pdetest(sol__3, sys__3)

[0, 0, 0]

(1.9)

This example is also good for illustrating the other related new feature: one can now request to pdsolve to only compute a general solution (it will return NULL if it cannot achieve that). Turn OFF userinfos and try with this example

infolevel[pdsolve] := 1

This returns NULL:

pdsolve(sys__3, [u, v], generalsolution)

Example 4.

Another where the solution returned is particular, this time for a linear system, conformed by 38 PDEs, also from differential equation symmetry analysis

sys__4 := [diff(xi[1](x, y, z, t, u), u) = 0, diff(xi[1](x, y, z, t, u), x)-(diff(xi[2](x, y, z, t, u), y)) = 0, diff(xi[2](x, y, z, t, u), u) = 0, -(diff(xi[1](x, y, z, t, u), y))-(diff(xi[2](x, y, z, t, u), x)) = 0, diff(xi[3](x, y, z, t, u), u) = 0, diff(xi[1](x, y, z, t, u), x)-(diff(xi[3](x, y, z, t, u), z)) = 0, -(diff(xi[3](x, y, z, t, u), y))-(diff(xi[2](x, y, z, t, u), z)) = 0, -(diff(xi[1](x, y, z, t, u), z))-(diff(xi[3](x, y, z, t, u), x)) = 0, diff(xi[4](x, y, z, t, u), u) = 0, diff(xi[3](x, y, z, t, u), t)-(diff(xi[4](x, y, z, t, u), z)) = 0, diff(xi[2](x, y, z, t, u), t)-(diff(xi[4](x, y, z, t, u), y)) = 0, diff(xi[1](x, y, z, t, u), t)-(diff(xi[4](x, y, z, t, u), x)) = 0, -(diff(xi[1](x, y, z, t, u), x))+diff(xi[4](x, y, z, t, u), t) = 0, diff(eta[1](x, y, z, t, u), y, y)+diff(eta[1](x, y, z, t, u), z, z)-(diff(eta[1](x, y, z, t, u), t, t))+diff(eta[1](x, y, z, t, u), x, x) = 0, diff(eta[1](x, y, z, t, u), u, u) = 0, diff(eta[1](x, y, z, t, u), u, x)+diff(xi[1](x, y, z, t, u), x, x) = 0, diff(xi[1](x, y, z, t, u), x, y)+diff(eta[1](x, y, z, t, u), u, y) = 0, -(diff(xi[1](x, y, z, t, u), y, y))+diff(eta[1](x, y, z, t, u), u, x) = 0, diff(xi[1](x, y, z, t, u), x, z)+diff(eta[1](x, y, z, t, u), u, z) = 0, diff(xi[1](x, y, z, t, u), y, z) = 0, -(diff(xi[1](x, y, z, t, u), z, z))+diff(eta[1](x, y, z, t, u), u, x) = 0, -(diff(eta[1](x, y, z, t, u), t, u))-(diff(xi[1](x, y, z, t, u), t, x)) = 0, diff(xi[1](x, y, z, t, u), t, y) = 0, diff(xi[1](x, y, z, t, u), t, z) = 0, diff(xi[1](x, y, z, t, u), t, t)+diff(eta[1](x, y, z, t, u), u, x) = 0, -(diff(xi[2](x, y, z, t, u), z, z))+diff(eta[1](x, y, z, t, u), u, y) = 0, diff(xi[2](x, y, z, t, u), t, z) = 0, diff(xi[2](x, y, z, t, u), t, t)+diff(eta[1](x, y, z, t, u), u, y) = 0, diff(xi[3](x, y, z, t, u), t, t)+diff(eta[1](x, y, z, t, u), u, z) = 0, diff(eta[1](x, y, z, t, u), u, x, x) = 0, diff(eta[1](x, y, z, t, u), u, x, y) = 0, diff(eta[1](x, y, z, t, u), u, y, y) = 0, diff(eta[1](x, y, z, t, u), u, x, z) = 0, diff(eta[1](x, y, z, t, u), u, y, z) = 0, diff(eta[1](x, y, z, t, u), u, z, z) = 0, diff(eta[1](x, y, z, t, u), t, u, x) = 0, diff(eta[1](x, y, z, t, u), t, u, y) = 0, diff(eta[1](x, y, z, t, u), t, u, z) = 0]

There are 38 coupled equations

nops(sys__4)

38

(1.10)

When requesting a general solution pdsolve returns NULL:

pdsolve(sys__4, generalsolution)

A solution that is not a general one, is however computed by default if calling pdsolve without the generalsolution option. In this case again the last line of the userinfo tells that the solution returned is not a general solution

infolevel[pdsolve] := 3

3

(1.11)

sol__4 := pdsolve(sys__4)

-> Solving ordering for the dependent variables of the PDE system: [eta[1](x,y,z,t,u), xi[1](x,y,z,t,u), xi[2](x,y,z,t,u), xi[3](x,y,z,t,u), xi[4](x,y,z,t,u)]

-> Solving ordering for the independent variables (can be changed using the ivars option): [t, x, y, z, u]
tackling triangularized subsystem with respect to eta[1](x,y,z,t,u)
First set of solution methods (general or quasi general solution)
Trying simple case of a single derivative.
First set of solution methods successful
-> Solving ordering for the dependent variables of the PDE system: [_F1(x,y,z,t), _F2(x,y,z,t)]
-> Solving ordering for the independent variables (can be changed using the ivars option): [t, x, y, z, u]
tackling triangularized subsystem with respect to _F1(x,y,z,t)
First set of solution methods (general or quasi general solution)
Trying simple case of a single derivative.
First set of solution methods successful
-> Solving ordering for the dependent variables of the PDE system: [_F3(x,y,z), _F4(x,y,z)]
-> Solving ordering for the independent variables (can be changed using the ivars option): [x, y, z, t]
tackling triangularized subsystem with respect to _F3(x,y,z)
First set of solution methods (general or quasi general solution)
Trying simple case of a single derivative.
First set of solution methods successful
First set of solution methods (general or quasi general solution)
Trying simple case of a single derivative.
First set of solution methods successful
tackling triangularized subsystem with respect to _F4(x,y,z)
First set of solution methods (general or quasi general solution)
Trying simple case of a single derivative.
First set of solution methods successful
-> Solving ordering for the dependent variables of the PDE system: [_F5(y,z), _F6(y,z)]
-> Solving ordering for the independent variables (can be changed using the ivars option): [y, z, x]
tackling triangularized subsystem with respect to _F5(y,z)
First set of solution methods (general or quasi general solution)
Trying simple case of a single derivative.
First set of solution methods successful
tackling triangularized subsystem with respect to _F6(y,z)
First set of solution methods (general or quasi general solution)
Trying simple case of a single derivative.
First set of solution methods successful
-> Solving ordering for the dependent variables of the PDE system: [_F7(z), _F8(z)]
-> Solving ordering for the independent variables (can be changed using the ivars option): [z, y]
tackling triangularized subsystem with respect to _F7(z)
tackling triangularized subsystem with respect to _F8(z)
tackling triangularized subsystem with respect to _F2(x,y,z,t)
First set of solution methods (general or quasi general solution)
Trying differential factorization for linear PDEs ...
Trying methods for PDEs "missing the dependent variable" ...
Second set of solution methods (complete solutions)
Third set of solution methods (simple HINTs for separating variables)
PDE linear in highest derivatives - trying a separation of variables by *
HINT = *
Fourth set of solution methods
Preparing a solution HINT ...
Trying HINT = _F3(x)*_F4(y)*_F5(z)*_F6(t)
Third set of solution methods successful

tackling triangularized subsystem with respect to xi[1](x,y,z,t,u)
First set of solution methods (general or quasi general solution)
Trying simple case of a single derivative.
First set of solution methods successful
First set of solution methods (general or quasi general solution)
Trying simple case of a single derivative.
First set of solution methods successful
-> Solving ordering for the dependent variables of the PDE system: [_F1(x,z,t), _F2(x,z,t)]
-> Solving ordering for the independent variables (can be changed using the ivars option): [t, x, z, y]
tackling triangularized subsystem with respect to _F1(x,z,t)
First set of solution methods (general or quasi general solution)
Trying simple case of a single derivative.
First set of solution methods successful
First set of solution methods (general or quasi general solution)
Trying simple case of a single derivative.
First set of solution methods successful
tackling triangularized subsystem with respect to _F2(x,z,t)
First set of solution methods (general or quasi general solution)
Trying simple case of a single derivative.
First set of solution methods successful

-> Solving ordering for the dependent variables of the PDE system: [_F3(x,t), _F4(x,t)]
-> Solving ordering for the independent variables (can be changed using the ivars option): [t, x, z]
tackling triangularized subsystem with respect to _F3(x,t)
First set of solution methods (general or quasi general solution)
Trying simple case of a single derivative.
First set of solution methods successful
tackling triangularized subsystem with respect to _F4(x,t)
First set of solution methods (general or quasi general solution)
Trying simple case of a single derivative.
First set of solution methods successful
-> Solving ordering for the dependent variables of the PDE system: [_F5(x), _F6(x)]
-> Solving ordering for the independent variables (can be changed using the ivars option): [x, t]
tackling triangularized subsystem with respect to _F5(x)
tackling triangularized subsystem with respect to _F6(x)
tackling triangularized subsystem with respect to xi[2](x,y,z,t,u)
First set of solution methods (general or quasi general solution)
Trying simple case of a single derivative.
First set of solution methods successful
First set of solution methods (general or quasi general solution)
Trying simple case of a single derivative.
First set of solution methods successful
First set of solution methods (general or quasi general solution)
Trying simple case of a single derivative.
First set of solution methods successful
First set of solution methods (general or quasi general solution)
Trying simple case of a single derivative.
First set of solution methods successful
-> Solving ordering for the dependent variables of the PDE system: [_F1(t), _F2(t)]
-> Solving ordering for the independent variables (can be changed using the ivars option): [t, z]
tackling triangularized subsystem with respect to _F1(t)
tackling triangularized subsystem with respect to _F2(t)
tackling triangularized subsystem with respect to xi[3](x,y,z,t,u)
First set of solution methods (general or quasi general solution)
Trying simple case of a single derivative.
First set of solution methods successful
First set of solution methods (general or quasi general solution)
Trying simple case of a single derivative.
First set of solution methods successful
First set of solution methods (general or quasi general solution)
Trying simple case of a single derivative.
First set of solution methods successful
First set of solution methods (general or quasi general solution)
Trying simple case of a single derivative.
First set of solution methods successful
tackling triangularized subsystem with respect to xi[4](x,y,z,t,u)
First set of solution methods (general or quasi general solution)
Trying simple case of a single derivative.
First set of solution methods successful
First set of solution methods (general or quasi general solution)
Trying simple case of a single derivative.
First set of solution methods successful
First set of solution methods (general or quasi general solution)
Trying simple case of a single derivative.
First set of solution methods successful
First set of solution methods (general or quasi general solution)
Trying simple case of a single derivative.
First set of solution methods successful
<- Returning a solution that *is not the most general one*

{eta[1](x, y, z, t, u) = (_C13*(_C10*(exp(_c[3]^(1/2)*z))^2+_C11)*(_C8*(exp(_c[2]^(1/2)*y))^2+_C9)*(_C6*(exp(_c[1]^(1/2)*x))^2+_C7)*cos((-_c[1]-_c[2]-_c[3])^(1/2)*t)+_C12*(_C10*(exp(_c[3]^(1/2)*z))^2+_C11)*(_C8*(exp(_c[2]^(1/2)*y))^2+_C9)*(_C6*(exp(_c[1]^(1/2)*x))^2+_C7)*sin((-_c[1]-_c[2]-_c[3])^(1/2)*t)+u*exp(_c[1]^(1/2)*x)*exp(_c[2]^(1/2)*y)*exp(_c[3]^(1/2)*z)*(_C1*t+_C2*x+_C3*y+_C4*z+_C5))/(exp(_c[1]^(1/2)*x)*exp(_c[2]^(1/2)*y)*exp(_c[3]^(1/2)*z)), xi[1](x, y, z, t, u) = -(1/2)*_C2*x^2+(1/2)*(-2*_C1*t-2*_C3*y-2*_C4*z+2*_C17)*x+(1/2)*(-t^2+y^2+z^2)*_C2+_C16*t+_C15*z+_C14*y+_C18, xi[2](x, y, z, t, u) = -(1/2)*_C3*y^2+(1/2)*(-2*_C1*t-2*_C2*x-2*_C4*z+2*_C17)*y+(1/2)*(-t^2+x^2+z^2)*_C3+_C20*t+_C19*z-_C14*x+_C21, xi[3](x, y, z, t, u) = -(1/2)*_C4*z^2+(1/2)*(-2*_C1*t-2*_C2*x-2*_C3*y+2*_C17)*z+(1/2)*(-t^2+x^2+y^2)*_C4+_C22*t-_C19*y-_C15*x+_C23, xi[4](x, y, z, t, u) = -(1/2)*_C1*t^2+(1/2)*(-2*_C2*x-2*_C3*y-2*_C4*z+2*_C17)*t+(1/2)*(-x^2-y^2-z^2)*_C1+_C20*y+_C22*z+_C16*x+_C24}

(1.12)

pdetest(sol__4, sys__4)

[0, 0, 0, 0, 0, 0, 0, 0, 0, 0, 0, 0, 0, 0, 0, 0, 0, 0, 0, 0, 0, 0, 0, 0, 0, 0, 0, 0, 0, 0, 0, 0, 0, 0, 0, 0, 0, 0]

(1.13)

Example 5.

Finally, the new userinfos also tell whether a solution is or not a general solution when working with PDEs that involve anticommutative variables  set using the Physics  package

with(Physics, Setup)

[Setup]

(1.14)

Set first theta and Q as suffixes for variables of type/anticommutative  (see Setup )

Setup(anticommutativepre = {Q, theta})

`* Partial match of  'anticommutativepre' against keyword 'anticommutativeprefix'`

[anticommutativeprefix = {Q, _lambda, theta}]

(1.15)

A PDE system example with two unknown anticommutative functions of four variables, two commutative and two anticommutative; to avoid redundant typing in the input that follows and redundant display of information on the screen let's use PDEtools:-diff_table   PDEtools:-declare

PDEtools:-declare(Q(x, y, theta[1], theta[2]))

Q(x, y, theta[1], theta[2])*`will now be displayed as`*Q

(1.16)

q := PDEtools:-diff_table(Q(x, y, theta[1], theta[2]))

table( [(  ) = Q(x, y, theta[1], theta[2]) ] )

(1.17)

Consider the system formed by these two PDEs (because of the q diff_table just defined, we can enter derivatives directly using the function's name indexed by the differentiation variables)

pde[1] := q[x, y, theta[1]]+q[x, y, theta[2]]-q[y, theta[1], theta[2]] = 0

Physics:-diff(diff(diff(Q(x, y, theta[1], theta[2]), x), y), theta[1])+Physics:-diff(diff(diff(Q(x, y, theta[1], theta[2]), x), y), theta[2])-Physics:-diff(Physics:-diff(diff(Q(x, y, theta[1], theta[2]), y), theta[1]), theta[2]) = 0

(1.18)

pde[2] := q[theta[1]] = 0

Physics:-diff(Q(x, y, theta[1], theta[2]), theta[1]) = 0

(1.19)

The solution returned for this system is indeed a general solution

pdsolve([pde[1], pde[2]])

-> Solving ordering for the dependent variables of the PDE system: [_F4(x,y), _F2(x,y), _F3(x,y)]

-> Solving ordering for the independent variables (can be changed using the ivars option): [x, y]
tackling triangularized subsystem with respect to _F4(x,y)
tackling triangularized subsystem with respect to _F2(x,y)
tackling triangularized subsystem with respect to _F3(x,y)
First set of solution methods (general or quasi general solution)
Trying simple case of a single derivative.
HINT = _F6(x)+_F5(y)
Trying HINT = _F6(x)+_F5(y)
HINT is successful
First set of solution methods successful
<- Returning a *general* solution

Q(x, y, theta[1], theta[2]) = _F1(x, y)*_lambda1+(_F6(x)+_F5(y))*theta[2]

(1.20)

NULL

This solution involves an anticommutative constant `_&lambda;2`, analogous to the commutative constants _Cn where n is an integer.