Application Center - Maplesoft

App Preview:

Ionization Constant of H2O as function of pressure and temperature

You can switch back to the summary page by clicking here.

Learn about Maple
Download Application




The Ionization Constant of H2O - IAPWS Formulation
See http://iapws.org/relguide/Ionization.pdf

Authors: Valery Ochkov and Aung Tu Ya Tun

Introduction

 

This application calculates the ionization constant of water using the formulation ratified by the IAPWS [1] in 2007 and developed by Bandura [2]. The formula is semi-empirical, and employs temperature and density as states.

This application, however, asks the user to enter temperature and pressure as states, and uses that information to calculate the density of water (via the ThermophysicalData  package). This is a more practical specification of states.

References:

[1] http://iapws.org/relguide/Ionization.pdf

[2] Bandura, A. V., and S. N. Lvov, “The Ionization Constant of Water over a Wide Range of Temperatures and Densities.” J. Phys. Chem. Ref. Data, Vol. 35, 2006, pp. 15-30.

restart; with(ThermophysicalData); with(Units[Standard])

Pressure of water or steam as function of density and temperature

wspDPT := proc (P, T) options operator, arrow; Property(density, H2O, pressure = P, temperature = T) end proc

Input data

 

Temperature

T := (18+273.15)*Unit('K')

291.15*Units:-Unit('K')

(2.1)

Pressure

p := Unit('atm')

Calculation

 

Density

rho := wspDPT(p, T)

998.5986332*Units:-Unit(('kg')/('m')^3)

(3.1)

 Empirical coefficients

`γ__0` := 6.141500*10^(-1)

`γ__1` := (4.825133*10^4)*Unit('K')

`γ__2` := -(6.770793*10^4)*Unit('K')^2

`γ__3` := (1.010210*10^7)*Unit('K')^3

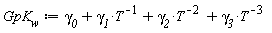
The ideal-gas ionization constant of water

GpK__w := `γ__0`+`γ__1`/T+`γ__2`/T^2+`γ__3`/T^3

165.9514320

(3.2)

Empirical coefficients

`α__0` := -.864671

`α__1` := 8659.19*Unit('K')

`α__2` := -22786.2*Unit('K')^2/Unit('g'/'cm'^3)^(2/3)

Normalizing mass density

`ρ__0` := Unit('g'/'cm'^3)

Q := rho*exp(`α__0`+`α__1`/T+`α__2`*rho^(2/3)/T^2)/`ρ__0`

0.2652989731e13

(3.3)

Ion coordination number

n := 6

Empirical coefficients

`β__0` := .642044/Unit('g'/'cm'^3)

`β__1` := -56.8534*Unit('K')/Unit('g'/'cm'^3)

`β__2` := -.375754/Unit('g'/'cm'^3)^2

Standard molality

m__0 := Unit('mol'/'kg')

Molar mass of water

M__w := 18.015268*Unit('g'/'mol')

G := 1000*Unit('g'/'kg')

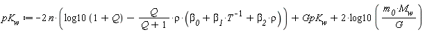
Answer

 

Molal ionization constant of water

pK__w := -2*n*(log10(1+Q)-Q*rho*(`β__0`+`β__1`/T+`β__2`*rho)/(1+Q))+GpK__w+2*log10(m__0*M__w/G)

14.23522015

(4.1)

NULL