Optimizing the Design of a Helical Spring
Introduction
The design optimization of helical springs is of considerable engineering interest, and demands strong solvers. While the number of constraints is small, the coil and wire diameters are raised to higher powers; this makes the optimization difficult for gradient-based solvers working in standard floating-point precision; a larger number of working digits is needed.
Maple lets you increase the number of digits used in calculations; hence numerically difficult problems, like this, can be solved.
This application minimizes the mass of a helical spring. The constraints include the minimum deflection, the minimum surge wave frequency, the maximum stress, and a loading condition.
The design variables are the diameter of the wire d, the outside diameter of the spring D, and the number of coils N.
Reference: "Introduction to Optimum Design", Jasbir S. Arora, 3 Edition 2012.
Parameters
Gravitational constant (in s)
Weight Density of spring material (lb in)
Shear Modulus (lb in)
Mass density of material (lb s in)
Allowable shear stress (lb in)
Number of inactive coils
Applied Load (lb)
Minimum spring deflection (in)
lower limit of surge wave frequency (Hz)
Limit on outer diameter of Coil (in)
Engineering Relationships
Spring Constant
Shear stress
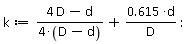
Wahl stress concentration factor
Frequency of surge waves
Constraints
Minimum deflection.
The outer diameter of the spring should smaller than or equal to D0
Avoid resonance by making the requency of surge waves along as spring as greater than a minimum defined value.
The shear stress cannot exceed the allowable shear stress.
Collect all the constraints
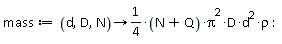
Objective function
Mass of spring
Optimization
Hence the optimized design variables are