Application Center - Maplesoft

App Preview:

Countercurrent Double Pipe Heat Exchanger

You can switch back to the summary page by clicking here.

Learn about Maple
Download Application




Countercurrent Double-Pipe

Heat Exchanger

Introduction

This application models the temperature dynamics of a countercurrent double pipe heat exchanger. Three partial differential equations describe

 

• 

heat balances across the tube- and shell-side liquids,

• 

and a heat balance across the tube-wall (taking into account the heat flow from the shell- and tube-side liquids, and conduction along the length of the tube)

 

The equations are solved numerically, and the temperature profiles are plotted.  The heat exchanger is assumed to be perfectly insulated. Densities, specific heat capacities, heat transfer coefficients, and thermal conductivities are assumed to be constant.

 

Parameters

Specific heat capacities for the tube-side fluid, shell-side fluid and the tube wall

Densities

Flowrates

Heat transfer coefficients

Thermal conductivity of tube-wall

Length of heat exchanger

Internal and external diameter of inner tube, and internal diameter of outer tube.

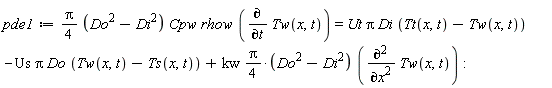
Partial Differential Equations Derived From Energy Balances

Tube wall heat balance


Tube-side heat balance


Shell-side heat balance


Initial and boundary conditions


Solution and Results